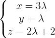
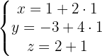
Hallar la ecuación de la recta
y que es paralela a la recta parametrizada dada por 
De la parametrización obtenemos que un vector director es
.
Al contener al punto
, la ecuación continua de la recta es

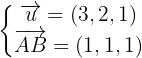
y es paralela a los planos 
Obtenemos los vectores normales a los planos
y 
El vector director de la recta debe ser perpendicular a estos, por lo que calculamos su producto cruz

Y así, teniendo un vector director
y el punto P(2, 0, 0) por el que pasa la recta, su ecuación continua es

y lleva la dirección del vector
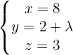
.Teniendo un punto por el que pasa y el vector director, se obtiene de manera directa la ecuación paramétrica de la recta


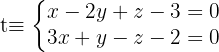
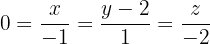
Hallar una ecuación continua de la recta que pasa por el punto
y paralela a los planos:

Obtenemos los vectores normales a los planos,
y 
El vector director de la recta es perpendicular a estos, por lo que calculamos su producto cruz

Y así, teniendo el vector director
y el punto P(2, -1, 5) por el que pasa la recta, su ecuación continua es

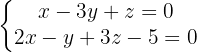
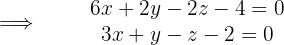
Determinar la ecuación implícita de la recta que pasa por el punto
y corta a las rectas:

Para obtener la ecuación de la recta notaremos que ésta es la intersección de los dos planos que pasan por
y contienen a las rectas
y
.
1 Obtenemos la ecuación del plano que contiene a
y
. Un vector generador de este plano será el vector director de la recta
. Resolviendo
obtenemos que
es un punto sobre
. Entonces el otro vector generador está dado por

Un punto en el plano es:
Los vectores generadores son:
Por lo tanto, la ecuación del plano está dado por el siguiente determinante

2 Obtenemos la ecuación del plano que contiene a
y
. Un vector generador de este plano será el vector director de la recta
. Resolviendo
obtenemos que
es un punto sobre
. Entonces el otro vector generador está dado por

Un punto en el plano es:
Los vectores generadores son:
Por lo tanto la ecuación del plano está dada por el siguiente determinante

3 Obtenemos la ecuación implícita de la recta Usamos las ecuaciones de los planos anteriormente obtenidas,

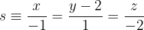
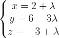
Hallar los puntos en la recta
Dados los puntos
y
, hallar los puntos de la recta
que tienen al menos una coordenada nula.
1 Obtenemos la ecuación de la recta
Al conocer
puntos en la recta, calculamos la diferencia para encontrar un vector director

), su ecuación parametrizada es 
- Si la primera coordenada es cero,
entonces 
- Si la segunda coordenada es cero,
entonces 
- Si la tercera coordenada es cero,
entonces 
Finalmente, pudimos encontrar
puntos donde al menos una de las coordenadas era nula:
y
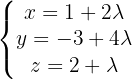
.Hallar las coordenadas del punto en común del plano
y la recta determinada por el punto
y el vector

1 Obtenemos la ecuación de la recta descrita






Resumir con IA:









Apuntes es una plataforma dirigida al estudio y la práctica de las matemáticas a través de la teoría y ejercicios interactivos que ponemos a vuestra disposición. Esta información está disponible para todo aquel/aquella que quiera profundizar en el aprendizaje de esta ciencia. Será un placer ayudaros en caso de que tengáis dudas frente algún problema, sin embargo, no realizamos un ejercicio que nos presentéis de 0 sin que hayáis si quiera intentado resolverlo. Ánimo, todo esfuerzo tiene su recompensa.
Les felicito por su pedagogica web.
Podrian indicarme cual es la formula de las coordenadas del pie de una perpendicular por un punto (X1,Y1) a una recta Ax+By+c=0
Serian tan amables de enviarme dos formulas:
1) Formula de la pendiente de la bisectriz de 45º relacionada con las pendientes de los lados del angulo de 90º.
2) Formulas de las coordenadas del punto/pie de una perpendicular que pasa por el punto P(x0,y0) y una recta Ax+By+c=0.
Gracias de antemano.
M.Angel
En los ejercicios 7 y 8, trazar las rectas que pasan por el punto dado con la pendiente indicada. Dibujar en un mismo sistema de coordenadas.
Hola tu indicación es muy buena, vamos a ir mejorando para un mejor entendimiento.
Me puede ayudar con este problema
la pendiente de una recta que pasa por el punto A(3, 2) es igual a 3/4. situar dos puntos sobre esta recta que disten 5 unidades de A.
con su gráfica mas
Alguien me puede ayudar por favor necesito dar un examen para repasar y no me salen las respuestas
Hola con gusto te ayudamos, podrías mencionar específicamente con cual ejercicio podemos darte una mejor explicación.
Determinar las ecuaciones parametricas del plano x-2y+z-1=0
Hola, me sirvio mucho, con que informacion podria ponerlos como refernecia en mi proyecto?
Hola que bueno que la pagina te ayudo, podrías poner como pagina de internet «Materíal didactico-Superprof».