La ecuación continua de la recta consiste de un vector director de la recta, digamos
y un punto de la recta, digamos
. Si tenemos las ecuaciones paramétricas de la recta,
podemos obtener la ecuación continua de la recta de la siguiente forma. Si de las ecuaciones paramétricas despejamos el parámetro
,
a la siguiente ecuación la llamamos la ecuación continua de la recta,
Ejemplos
1 Una recta pasa por el punto
y tiene un vector director
. Escribir su ecuación continua.
En este caso, tenemos que
,
,
y
, entonces reemplazando en
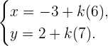
la ecuación anterior se tiene que la ecuación continua de la recta es
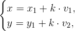
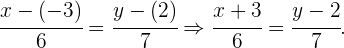
2 Considere las siguientes ecuaciones paramétricas de una recta y calcule la ecuación continua de dicha recta,
De las ecuaciones paramétricas podemos inferir que
es un punto que pasa por
la recta y que
es un vector director de la recta. De esta forma podemos concluir que
Reemplazando estos valores tenemos que la ecuación continua de la recta es
Resumir con IA:

Apuntes es una plataforma dirigida al estudio y la práctica de las matemáticas a través de la teoría y ejercicios interactivos que ponemos a vuestra disposición. Esta información está disponible para todo aquel/aquella que quiera profundizar en el aprendizaje de esta ciencia. Será un placer ayudaros en caso de que tengáis dudas frente algún problema, sin embargo, no realizamos un ejercicio que nos presentéis de 0 sin que hayáis si quiera intentado resolverlo. Ánimo, todo esfuerzo tiene su recompensa.
Les felicito por su pedagogica web.
Podrian indicarme cual es la formula de las coordenadas del pie de una perpendicular por un punto (X1,Y1) a una recta Ax+By+c=0
Serian tan amables de enviarme dos formulas:
1) Formula de la pendiente de la bisectriz de 45º relacionada con las pendientes de los lados del angulo de 90º.
2) Formulas de las coordenadas del punto/pie de una perpendicular que pasa por el punto P(x0,y0) y una recta Ax+By+c=0.
Gracias de antemano.
M.Angel
En los ejercicios 7 y 8, trazar las rectas que pasan por el punto dado con la pendiente indicada. Dibujar en un mismo sistema de coordenadas.
Hola tu indicación es muy buena, vamos a ir mejorando para un mejor entendimiento.
Me puede ayudar con este problema
la pendiente de una recta que pasa por el punto A(3, 2) es igual a 3/4. situar dos puntos sobre esta recta que disten 5 unidades de A.
con su gráfica mas
Alguien me puede ayudar por favor necesito dar un examen para repasar y no me salen las respuestas
Hola con gusto te ayudamos, podrías mencionar específicamente con cual ejercicio podemos darte una mejor explicación.
Determinar las ecuaciones parametricas del plano x-2y+z-1=0
Hola, me sirvio mucho, con que informacion podria ponerlos como refernecia en mi proyecto?
Hola que bueno que la pagina te ayudo, podrías poner como pagina de internet «Materíal didactico-Superprof».