Capítulos
- Ecuación vectorial de la recta
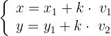
- Ecuaciones paramétricas de la recta
- Ecuación continua de la recta
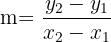
- Pendiente
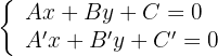
- Ecuación general de la recta
- Ecuación explícita de la recta
- Ecuación de la recta que pasa por dos puntos
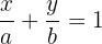
- Ecuación canónica o segmentaria
- Rectas en el eje de coordenadas
- Posiciones relativas a dos rectas
Los/las mejores profesores/as de Matemáticas que están disponibles
Ecuación vectorial de la recta
Ecuaciones paramétricas de la recta
Ecuación continua de la recta
Pendiente
1 Pendiente dado el ángulo
2 Pendiente dado el vector director de la recta
3 Pendiente dados dos puntos
Ecuación general de la recta
Ecuación explícita de la recta
Ecuación de la recta que pasa por dos puntos
Ecuación canónica o segmentaria
Rectas en el eje de coordenadas
Rectas paralelas al eje OX
Rectas paralelas al eje OY
Rectas paralelas
Dos rectas son paralelas si tienen el mismo vector director o la misma pendiente.
Posiciones relativas a dos rectas
Posiciones relativas de dos rectas
1 Si
, las rectas son secantes, se cortan en un punto.
2 Si
, las rectas paralelas, no se cortan en ningún punto.
3 Si
, las rectas son coincidentes, todos sus puntos son comunes.
Resumir con IA:









Apuntes es una plataforma dirigida al estudio y la práctica de las matemáticas a través de la teoría y ejercicios interactivos que ponemos a vuestra disposición. Esta información está disponible para todo aquel/aquella que quiera profundizar en el aprendizaje de esta ciencia. Será un placer ayudaros en caso de que tengáis dudas frente algún problema, sin embargo, no realizamos un ejercicio que nos presentéis de 0 sin que hayáis si quiera intentado resolverlo. Ánimo, todo esfuerzo tiene su recompensa.
Les felicito por su pedagogica web.
Podrian indicarme cual es la formula de las coordenadas del pie de una perpendicular por un punto (X1,Y1) a una recta Ax+By+c=0
Serian tan amables de enviarme dos formulas:
1) Formula de la pendiente de la bisectriz de 45º relacionada con las pendientes de los lados del angulo de 90º.
2) Formulas de las coordenadas del punto/pie de una perpendicular que pasa por el punto P(x0,y0) y una recta Ax+By+c=0.
Gracias de antemano.
M.Angel
En los ejercicios 7 y 8, trazar las rectas que pasan por el punto dado con la pendiente indicada. Dibujar en un mismo sistema de coordenadas.
Hola tu indicación es muy buena, vamos a ir mejorando para un mejor entendimiento.
Me puede ayudar con este problema
la pendiente de una recta que pasa por el punto A(3, 2) es igual a 3/4. situar dos puntos sobre esta recta que disten 5 unidades de A.
con su gráfica mas
Alguien me puede ayudar por favor necesito dar un examen para repasar y no me salen las respuestas
Hola con gusto te ayudamos, podrías mencionar específicamente con cual ejercicio podemos darte una mejor explicación.
Determinar las ecuaciones parametricas del plano x-2y+z-1=0
Hola, me sirvio mucho, con que informacion podria ponerlos como refernecia en mi proyecto?
Hola que bueno que la pagina te ayudo, podrías poner como pagina de internet «Materíal didactico-Superprof».