Punto medio y sus coordenadas
El punto medio, es el punto que se encuentra a la misma distancia de otros dos puntos cualquiera o extremos de un segmento. Si es un segmento, el punto medio es el que lo divide en dos partes iguales.
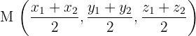
Sean
y
los extremos de un segmento, el punto medio del segmento viene dado por:

Ejemplos para el calculo del punto medio
1 Dados los puntos
y
, hallar las coordenadas del punto medio del segmento que determinan.
Utilizando la formula de las coordenadas del punto medio tendremos
entonces
2Las coordenadas de los vértices consecutivos de un paralelogramo son
y
. Las coordenadas del centro
son
. Hallar las coordenadas de los vértices
y
.

Observemos que
es el punto medio entre los vértices
y
, pero también es el punto medio entre los vértices
y
.
Al ser punto medio debe cumplir con la formula de las coordenadas del punto medio, utilizaremos esta para calcular los vértices restantes.
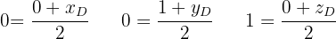
Vértice C:
entonces
Por lo tanto
es decir, el vértice C es
.
Vértice D:
entonces
Por lo tanto
y de aquí tendremos que
.
Resumir con IA:









Apuntes es una plataforma dirigida al estudio y la práctica de las matemáticas a través de la teoría y ejercicios interactivos que ponemos a vuestra disposición. Esta información está disponible para todo aquel/aquella que quiera profundizar en el aprendizaje de esta ciencia. Será un placer ayudaros en caso de que tengáis dudas frente algún problema, sin embargo, no realizamos un ejercicio que nos presentéis de 0 sin que hayáis si quiera intentado resolverlo. Ánimo, todo esfuerzo tiene su recompensa.
Les felicito por su pedagogica web.
Podrian indicarme cual es la formula de las coordenadas del pie de una perpendicular por un punto (X1,Y1) a una recta Ax+By+c=0
Serian tan amables de enviarme dos formulas:
1) Formula de la pendiente de la bisectriz de 45º relacionada con las pendientes de los lados del angulo de 90º.
2) Formulas de las coordenadas del punto/pie de una perpendicular que pasa por el punto P(x0,y0) y una recta Ax+By+c=0.
Gracias de antemano.
M.Angel
En los ejercicios 7 y 8, trazar las rectas que pasan por el punto dado con la pendiente indicada. Dibujar en un mismo sistema de coordenadas.
Hola tu indicación es muy buena, vamos a ir mejorando para un mejor entendimiento.
Me puede ayudar con este problema
la pendiente de una recta que pasa por el punto A(3, 2) es igual a 3/4. situar dos puntos sobre esta recta que disten 5 unidades de A.
con su gráfica mas
Alguien me puede ayudar por favor necesito dar un examen para repasar y no me salen las respuestas
Hola con gusto te ayudamos, podrías mencionar específicamente con cual ejercicio podemos darte una mejor explicación.
Determinar las ecuaciones parametricas del plano x-2y+z-1=0
Hola, me sirvio mucho, con que informacion podria ponerlos como refernecia en mi proyecto?
Hola que bueno que la pagina te ayudo, podrías poner como pagina de internet «Materíal didactico-Superprof».