Dos rectas en el plano pueden ser:
Secantes

Dos rectas son secantes si sólo tienen un punto en común.
El sistema de ecuaciones formado por las dos rectas tiene una solución.
Paralelas

Dos rectas son paralelas si no tienen ningún punto en común.
El sistema de ecuaciones formado por las dos rectas no tiene solución.
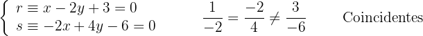
Coincidentes

Dos rectas son coincidentes si tienen todos los puntos son comunes.
El sistema de ecuaciones formado por las dos rectas tiene infinitas soluciones.
Ecuación explícita![]() ![]() | Ecuación general![]() ![]() | |
|---|---|---|
| r y s secantes | ![]() | ![]() |
| r y s paralelas | ![]() ![]() | ![]() |
| r y s coincidentes | ![]() ![]() | ![]() |
Estudia las posiciones relativas de los siguientes pares de rectas:
Estudiar la posición relativa de las rectas de ecuaciones:
1
2
3
4
5
6
Las rectas 1 y 4 son coincidentes , porque todos sus coeficientes son proporcionales:
Las rectas 2 y 5 y las 1 y 6 son paralelas respectivamente, ya que existe proporcionalidad entre los coeficientes de x y de y, pero no en el término independiente.
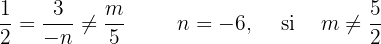
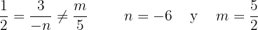
¿Son secantes las rectas
y
? En caso afirmativo halar el punto de corte.
Dadas las rectas
y
, calcula
y
, para que :
1
Sean paralelas.
2
Se corten en el punto
.

3
Sean coincidentes.
¿Buscas clases de matematicas online? Superprof es tu sitio.
Resumir con IA:



















Apuntes es una plataforma dirigida al estudio y la práctica de las matemáticas a través de la teoría y ejercicios interactivos que ponemos a vuestra disposición. Esta información está disponible para todo aquel/aquella que quiera profundizar en el aprendizaje de esta ciencia. Será un placer ayudaros en caso de que tengáis dudas frente algún problema, sin embargo, no realizamos un ejercicio que nos presentéis de 0 sin que hayáis si quiera intentado resolverlo. Ánimo, todo esfuerzo tiene su recompensa.
Les felicito por su pedagogica web.
Podrian indicarme cual es la formula de las coordenadas del pie de una perpendicular por un punto (X1,Y1) a una recta Ax+By+c=0
Serian tan amables de enviarme dos formulas:
1) Formula de la pendiente de la bisectriz de 45º relacionada con las pendientes de los lados del angulo de 90º.
2) Formulas de las coordenadas del punto/pie de una perpendicular que pasa por el punto P(x0,y0) y una recta Ax+By+c=0.
Gracias de antemano.
M.Angel
En los ejercicios 7 y 8, trazar las rectas que pasan por el punto dado con la pendiente indicada. Dibujar en un mismo sistema de coordenadas.
Hola tu indicación es muy buena, vamos a ir mejorando para un mejor entendimiento.
Me puede ayudar con este problema
la pendiente de una recta que pasa por el punto A(3, 2) es igual a 3/4. situar dos puntos sobre esta recta que disten 5 unidades de A.
con su gráfica mas
Alguien me puede ayudar por favor necesito dar un examen para repasar y no me salen las respuestas
Hola con gusto te ayudamos, podrías mencionar específicamente con cual ejercicio podemos darte una mejor explicación.
Determinar las ecuaciones parametricas del plano x-2y+z-1=0
Hola, me sirvio mucho, con que informacion podria ponerlos como refernecia en mi proyecto?
Hola que bueno que la pagina te ayudo, podrías poner como pagina de internet «Materíal didactico-Superprof».