Elige la opción correcta en cada caso:
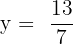
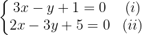
Estudia la posición relativa de las rectas
y
. En caso de que sean secantes, halla el punto de corte
Selecciona una respuesta.
Los coeficientes de las rectas no son proporcionales, es decir, 
Así que las rectas son secantes. Hallemos el punto de intersección de las rectas:
Despejamos
de la primer ecuación: 
Sustituimos el valor encontrado de
en la segunda ecuación: 


Ahora sustituimos el valor de
en 

Entonces el punto de intersección de r y s es
.
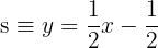
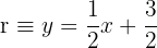
Estudia la posición relativa de las rectas
y
.
En caso de que sean secantes, halla el punto de corte.
Selecciona una respuesta.
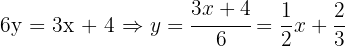
Pasemos la recta r a forma explícita:

Tenemos las dos rectas en forma explícita.
Podemos ver así que las pendientes de ambas rectas coinciden: 
Entonces las rectas son paralelas.
Estudia la posición relativa de las rectas
y
.
En caso de que sean secantes, halla el punto de corte
Selecciona una respuesta.
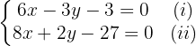
Pasemos las dos rectas a forma general, es decir, igualamos a cero:




Se verifica que los coeficientes y los términos independientes de las rectas son proporcionales:

Entonces las rectas son coincidentes.
Estudia la posición relativa de las rectas

y
.
En caso de que sean secantes, halla el punto de corte.
Selecciona una respuesta.
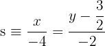
Pasemos la recta r a forma general: 



Los coeficientes de las rectas r y s no son proporcionales:
Así que las rectas son secantes.
Hallemos el punto de intersección de las rectas:

Despejamos y de la primer ecuación:

Ahora sustituimos el valor encontrado de y en la segunda ecuación:



Sustituyendo el valor encontrado de x en y: 
Entonces el punto de intersección de las rectas r y s es
.
Halla el valor de a para que las rectas
y
no tengan ningún punto en común.
a =
Este campo es obligatorio.
Para que las rectas r y s no tengan ningún punto en común, ambas deben ser paralelas.
Sabemos que si los coeficientes de las rectas son proporcionales, las rectas son paralelas.
Imponemos esta condición y despejamos el valor de a: 
Despejando a tenemos:

Halla el valor de a y b para que las rectas
y
sean coincidentes.
a = , b =
Este campo es obligatorio.
Para que las rectas sean coincidentes, los coeficientes y términos independientes tienen que ser proporcionales.
Imponemos la condición y despejamos los valores de a y b.

Resolviendo la igualdad de la izquierda tenemos:
y la igualdad de la derecha:

Por lo tanto los valores de a y b son: 1 y -12, respectivamente.
Halla el valor de a para que las rectas
y
sean secantes.
a ≠
Este campo es obligatorio.
En primer lugar, pasamos la recta r a forma general:




Para que las rectas r y s sean secantes, sus coeficientes no pueden ser proporcionales, es decir:

Despejamos a,

Entonces las rectas son secantes si
.
Halla el valor de a para que las rectas
y
sean paralelas.
a =
Este campo es obligatorio.
Para que las rectas sean paralelas, sus pendientes tienen que coincidir. Sabemos que la pendiente de una recta se puede calcular a partir de su vector director de la siguiente manera:
Si 
Calculemos las pendientes de las rectas r y s:

Igualamos las pendientes y despejamos el valor de a:


Si tienes dudas puedes consultar la teoría
Resumir con IA:

Apuntes es una plataforma dirigida al estudio y la práctica de las matemáticas a través de la teoría y ejercicios interactivos que ponemos a vuestra disposición. Esta información está disponible para todo aquel/aquella que quiera profundizar en el aprendizaje de esta ciencia. Será un placer ayudaros en caso de que tengáis dudas frente algún problema, sin embargo, no realizamos un ejercicio que nos presentéis de 0 sin que hayáis si quiera intentado resolverlo. Ánimo, todo esfuerzo tiene su recompensa.
Les felicito por su pedagogica web.
Podrian indicarme cual es la formula de las coordenadas del pie de una perpendicular por un punto (X1,Y1) a una recta Ax+By+c=0
Serian tan amables de enviarme dos formulas:
1) Formula de la pendiente de la bisectriz de 45º relacionada con las pendientes de los lados del angulo de 90º.
2) Formulas de las coordenadas del punto/pie de una perpendicular que pasa por el punto P(x0,y0) y una recta Ax+By+c=0.
Gracias de antemano.
M.Angel
En los ejercicios 7 y 8, trazar las rectas que pasan por el punto dado con la pendiente indicada. Dibujar en un mismo sistema de coordenadas.
Hola tu indicación es muy buena, vamos a ir mejorando para un mejor entendimiento.
Me puede ayudar con este problema
la pendiente de una recta que pasa por el punto A(3, 2) es igual a 3/4. situar dos puntos sobre esta recta que disten 5 unidades de A.
con su gráfica mas
Alguien me puede ayudar por favor necesito dar un examen para repasar y no me salen las respuestas
Hola con gusto te ayudamos, podrías mencionar específicamente con cual ejercicio podemos darte una mejor explicación.
Determinar las ecuaciones parametricas del plano x-2y+z-1=0
Hola, me sirvio mucho, con que informacion podria ponerlos como refernecia en mi proyecto?
Hola que bueno que la pagina te ayudo, podrías poner como pagina de internet «Materíal didactico-Superprof».