Ecuación normal de la recta
Los puntos
y
de la recta
determinan el vector:


El vector
es un vector unitario y perpendicular a
.
Si las componentes del vector director de
son
, las componentes de su vector perpendicular correspondiente son:
.
Por tanto las componentes del vector unitario y perpendicular serán

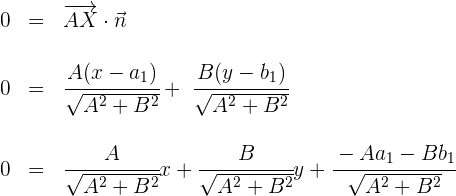
Como
y
son perpendiculares, su producto escalar es cero:

Si en la ecuación general sustituimos
, obtenemos la ecuación de la recta normal a
y que pasa por el punto
:

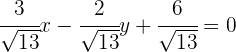
Ejemplo: Hallar la ecuación normal de la recta
que pasa por
.
Buscamos dos puntos de la recta, para esto le damos valores a
, por ejemplo 
se obtienen dos puntos de la recta
y con ellos tenemos el vector director de 
Luego la recta normal buscada es
Otra forma de expresar la ecuación normal de la recta es:

Ejemplo: Hallar la ecuación de una recta perpendicular al segmento de extremos
y
en su punto medio.
Calculamos el punto medio
Calculamos el vector director
La recta buscada es
Cosenos directores
Las componentes de un vector unitario en una base ortonormal
, son el coseno y el seno que forma con el vector
de la base.
Estas expresiones se llaman cosenos directores de la recta, ya que la segunda puede escribirse como
.
Resumir con IA:









Apuntes es una plataforma dirigida al estudio y la práctica de las matemáticas a través de la teoría y ejercicios interactivos que ponemos a vuestra disposición. Esta información está disponible para todo aquel/aquella que quiera profundizar en el aprendizaje de esta ciencia. Será un placer ayudaros en caso de que tengáis dudas frente algún problema, sin embargo, no realizamos un ejercicio que nos presentéis de 0 sin que hayáis si quiera intentado resolverlo. Ánimo, todo esfuerzo tiene su recompensa.
Les felicito por su pedagogica web.
Podrian indicarme cual es la formula de las coordenadas del pie de una perpendicular por un punto (X1,Y1) a una recta Ax+By+c=0
Serian tan amables de enviarme dos formulas:
1) Formula de la pendiente de la bisectriz de 45º relacionada con las pendientes de los lados del angulo de 90º.
2) Formulas de las coordenadas del punto/pie de una perpendicular que pasa por el punto P(x0,y0) y una recta Ax+By+c=0.
Gracias de antemano.
M.Angel
En los ejercicios 7 y 8, trazar las rectas que pasan por el punto dado con la pendiente indicada. Dibujar en un mismo sistema de coordenadas.
Hola tu indicación es muy buena, vamos a ir mejorando para un mejor entendimiento.
Me puede ayudar con este problema
la pendiente de una recta que pasa por el punto A(3, 2) es igual a 3/4. situar dos puntos sobre esta recta que disten 5 unidades de A.
con su gráfica mas
Alguien me puede ayudar por favor necesito dar un examen para repasar y no me salen las respuestas
Hola con gusto te ayudamos, podrías mencionar específicamente con cual ejercicio podemos darte una mejor explicación.
Determinar las ecuaciones parametricas del plano x-2y+z-1=0
Hola, me sirvio mucho, con que informacion podria ponerlos como refernecia en mi proyecto?
Hola que bueno que la pagina te ayudo, podrías poner como pagina de internet «Materíal didactico-Superprof».