Elige la opción correcta en cada caso:
Calcula la ecuación vectorial de la recta
que pasa por el punto
y tiene por vector director 
Selecciona una respuesta.
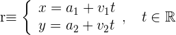
1 La ecuación vectorial de la recta
que pasa por el punto
y tiene por vector director
viene dada por

2 Sustituimos el punto
y el vector director
en la fórmula de la ecuación vectorial de la recta y tenemos

Calcula la ecuación paramétrica de la recta
que pasa por el punto
y tiene por vector director 
Selecciona una respuesta.
1 La ecuación paramétrica de la recta
que pasa por el punto
y tiene por vector director
viene dada por

2 Sustituimos el punto
y el vector director
en la fórmula de la ecuación paramétrica de la recta y tenemos

Calcula la ecuación continua de la recta
que pasa por el punto
y tiene por vector de dirección 
Selecciona una respuesta.
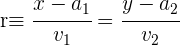
1 La ecuación continua de la recta
que pasa por el punto
y tiene por vector director
viene dada por

2 Sustituimos el punto
y el vector director
en la fórmula de la ecuación continua de la recta y tenemos

Calcula la ecuación general de la recta
que pasa por el punto
y tiene como vector director 
Selecciona una respuesta.
1La ecuación general de una recta es de la forma
.
2El vector director de la recta viene dado por
, de aquí se tiene
.
3Entonces la ecuación queda 
4Sabemos que la recta pasa por el punto
, así que podemos sustituir las coordenadas del punto en la recta y obtenemos el valor de
:
:
5Luego la ecuación pedida es

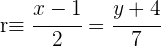
Calcula la ecuación de la recta
que pasa por los puntos
y 
Selecciona una respuesta.
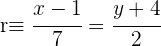
1 La ecuación continua de la recta
que pasa por el punto
y tiene por vector director
viene dada por

2 Calculamos el vector director de la recta que pasa por los puntos
y 

3 Sustituimos el punto
y el vector director
en la fórmula de la ecuación continua de la recta y tenemos

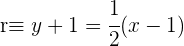
Calcula la ecuación punto-pendiente de la recta
que pasa por el punto
y tiene como vector director 
Selecciona una respuesta.
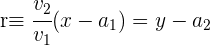
1 La ecuación continua de la recta
que pasa por el punto
y tiene por vector director
viene dada por

2 Para obtener la ecuación punto-pendiente realizamos el siguiente despeje

3 Sustituimos el punto
y el vector director
en la fórmula de la ecuación punto-pendiente de la recta y tenemos

Calcula la ecuación explícita de la recta
que pasa por el punto
y tiene como vector director 
Selecciona una respuesta.
1 La ecuación punto-pendiente de la recta
que pasa por el punto
y tiene por vector director
viene dada por

2 Para obtener la ecuación explícita realizamos el siguiente despeje

3 Sustituimos el punto
y el vector director
en la fórmula de la ecuación explícita de la recta y tenemos

Luego, 
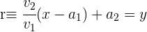
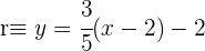
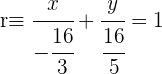
Calcula la ecuación canónica o segmentaria de la recta
que pasa por el punto
y tiene como vector director 
Selecciona una respuesta.
1 La fórmula de la ecuación explícita de la recta que pasa por el punto
con vector director
es

2 Sustituimos el punto
y el vector director
en la fórmula de la ecuación explícita de la recta y tenemos

Luego, 
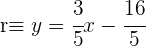
3 Dividimos entre
y tenemos

4 Despejando tenemos

Si tienes dudas puedes consultar la teoría
Resumir con IA:

Apuntes es una plataforma dirigida al estudio y la práctica de las matemáticas a través de la teoría y ejercicios interactivos que ponemos a vuestra disposición. Esta información está disponible para todo aquel/aquella que quiera profundizar en el aprendizaje de esta ciencia. Será un placer ayudaros en caso de que tengáis dudas frente algún problema, sin embargo, no realizamos un ejercicio que nos presentéis de 0 sin que hayáis si quiera intentado resolverlo. Ánimo, todo esfuerzo tiene su recompensa.
Les felicito por su pedagogica web.
Podrian indicarme cual es la formula de las coordenadas del pie de una perpendicular por un punto (X1,Y1) a una recta Ax+By+c=0
Serian tan amables de enviarme dos formulas:
1) Formula de la pendiente de la bisectriz de 45º relacionada con las pendientes de los lados del angulo de 90º.
2) Formulas de las coordenadas del punto/pie de una perpendicular que pasa por el punto P(x0,y0) y una recta Ax+By+c=0.
Gracias de antemano.
M.Angel
En los ejercicios 7 y 8, trazar las rectas que pasan por el punto dado con la pendiente indicada. Dibujar en un mismo sistema de coordenadas.
Hola tu indicación es muy buena, vamos a ir mejorando para un mejor entendimiento.
Me puede ayudar con este problema
la pendiente de una recta que pasa por el punto A(3, 2) es igual a 3/4. situar dos puntos sobre esta recta que disten 5 unidades de A.
con su gráfica mas
Alguien me puede ayudar por favor necesito dar un examen para repasar y no me salen las respuestas
Hola con gusto te ayudamos, podrías mencionar específicamente con cual ejercicio podemos darte una mejor explicación.
Determinar las ecuaciones parametricas del plano x-2y+z-1=0
Hola, me sirvio mucho, con que informacion podria ponerlos como refernecia en mi proyecto?
Hola que bueno que la pagina te ayudo, podrías poner como pagina de internet «Materíal didactico-Superprof».