Las coordenadas de los vértices consecutivos de un paralelogramo son
y 
Las coordenadas del centro
son 
Hallar las coordenadas de los vértices
y 
Consideremos la siguiente representación grafica del problema.

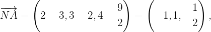
Notemos que el punto
por un lado es el punto medio de los puntos
y
entonces 
De esta forma podemos plantear las siguientes ecuaciones para encontrar las coordenadas del punto
.



De manera similar procedemos para encontrar las coordenadas del punto
. 
De esta forma podemos plantear las siguientes ecuaciones para encontrar las coordenadas del punto
.



Dado el triángulo de vértices
,
y
, hallar:
1Las ecuaciones de las medianas del triángulo
2Las coordenadas del baricentro del triángulo.
3Las coordenadas del baricentro del triángulo cuyos vértices son los puntos medios de los lados del triángulo anterior.
Consideremos la siguiente representación grafica del problema

1Para hallar las medianas del triángulo primero hallaremos los puntos medios de los lados del triángulo 


Ahora hallaremos el vector director de las medianas 


Con estas ecuaciones y los puntos
,
y
podemos plantear las ecuaciones de las medianas 

2Las coordenadas del baricentro del triángulo. 
3Las coordenadas del baricentro del triángulo cuyos vértices son los puntos medios de los lados del triángulo anterior. 
Los baricentros de los dos triángulos coinciden.
Hallar la ecuación de la recta que pasa por los puntos
y
Estudiar si el punto
está alineado con
y 
Para hallar la recta que pasa por los puntos
y
debemos encontrar el vector director
La ecuación de la recta es 
Para que el punto
este alineado con
y
, debe pertenecer a la recta que pasa por
y
.

Como
no satisface las ecuaciones de la recta, no está alineado con
y
.
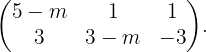
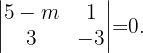
Determinar los valores de
para que los puntos
,
y
estén alineados y hallar las ecuaciones de la recta que los contiene.
Primero determinamos el valor de los vectores
y
, 

Para que esten alineados debemos tener 
Igualando a cero el determinante de los menores la siguiente matriz podemos calcular el valor de
, 
En particular tenemos

Determinar el valor de
para que los puntos
,
,
y
sean coplanarios.
Primero hallamos los vectores determinados por los puntos


Para que los puntos sean coplanarios, los vectores determinados por ellos también han de ser coplanarios, es decir, que el rango de los vectores sea 2.
Para que el rango sea igual a 2, el determinante de las componentes de los vectores ha de ser igual a cero.


¿Qué en relación se ha de verificar entre los parámetros
,
y
para que los puntos
,
,
y
sean coplanarios?
Primero hallamos los vectores determinados por los puntos


Para que los puntos sean coplanarios, los vectores determinados por ellos también han de ser coplanarios, es decir, que el rango de los vectores sea 2.
Para que el rango sea igual a 2, el determinante de las componentes de los vectores ha de ser igual a cero.

Calcular el valor de a para que los puntos
,
,
y
sean coplanarios. Calcular también la ecuación del plano que los contiene.
Fijamos el punto
y calculamos los siguientes vectores con punto inicial
,


Estos vectores deben cumplir
, por tanto el siguiente determinante debe ser cero, 

Finalmente, para hallar la ecuación del plano consideraremos los siguientes vectores y el siguiente determinante, 


Resumir con IA:

Apuntes es una plataforma dirigida al estudio y la práctica de las matemáticas a través de la teoría y ejercicios interactivos que ponemos a vuestra disposición. Esta información está disponible para todo aquel/aquella que quiera profundizar en el aprendizaje de esta ciencia. Será un placer ayudaros en caso de que tengáis dudas frente algún problema, sin embargo, no realizamos un ejercicio que nos presentéis de 0 sin que hayáis si quiera intentado resolverlo. Ánimo, todo esfuerzo tiene su recompensa.
Les felicito por su pedagogica web.
Podrian indicarme cual es la formula de las coordenadas del pie de una perpendicular por un punto (X1,Y1) a una recta Ax+By+c=0
Serian tan amables de enviarme dos formulas:
1) Formula de la pendiente de la bisectriz de 45º relacionada con las pendientes de los lados del angulo de 90º.
2) Formulas de las coordenadas del punto/pie de una perpendicular que pasa por el punto P(x0,y0) y una recta Ax+By+c=0.
Gracias de antemano.
M.Angel
En los ejercicios 7 y 8, trazar las rectas que pasan por el punto dado con la pendiente indicada. Dibujar en un mismo sistema de coordenadas.
Hola tu indicación es muy buena, vamos a ir mejorando para un mejor entendimiento.
Me puede ayudar con este problema
la pendiente de una recta que pasa por el punto A(3, 2) es igual a 3/4. situar dos puntos sobre esta recta que disten 5 unidades de A.
con su gráfica mas
Alguien me puede ayudar por favor necesito dar un examen para repasar y no me salen las respuestas
Hola con gusto te ayudamos, podrías mencionar específicamente con cual ejercicio podemos darte una mejor explicación.
Determinar las ecuaciones parametricas del plano x-2y+z-1=0
Hola, me sirvio mucho, con que informacion podria ponerlos como refernecia en mi proyecto?
Hola que bueno que la pagina te ayudo, podrías poner como pagina de internet «Materíal didactico-Superprof».