Capítulos
Coordenadas del punto medio de un segmento
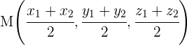
Sean
y
los extremos de un segmento, el punto medio del segmento viene dado por:

Ejemplo
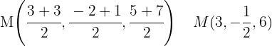
Dados los puntos
y
, hallar las coordenadas del punto medio del segmento que determinan.
Coordenadas del baricentro de un triángulo
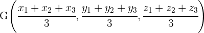
Sean
,
y
los vértices de un triángulo, las coordenadas del baricentro son:

Ejemplo
Sean
,
y
los vértices de un triángulo. Determinar las coordenadas del baricentro.
Puntos alineados
Tres o más puntos esán alineados si están en una misma recta, y por tanto el rango de los vectores determinados por ellos es 1.
Ejemplo
Comprobar si los puntos
y
están alineados.
Comenzamos por encontrar los dos vectores,


El rango de vectores es,
Los puntos no están alineados.
Puntos coplanarios
Dos o más vectores son coplanarios si son linealmente dependientes, y por tanto sus componentes son proporcionales y su rango es 2.
Dos o más puntos son coplanarios, si los vectores determinados por ellos también son coplanarios.
Ejemplo
Comprobar si los puntos
y
son coplanarios.
Los puntos A, B, C, D y E son coplanarios si:
Comenzamos por encontrar los vectores,




El rango de vectores es,
Los puntos A, B, C, D y E no son coplanarios.
Resumir con IA:









Apuntes es una plataforma dirigida al estudio y la práctica de las matemáticas a través de la teoría y ejercicios interactivos que ponemos a vuestra disposición. Esta información está disponible para todo aquel/aquella que quiera profundizar en el aprendizaje de esta ciencia. Será un placer ayudaros en caso de que tengáis dudas frente algún problema, sin embargo, no realizamos un ejercicio que nos presentéis de 0 sin que hayáis si quiera intentado resolverlo. Ánimo, todo esfuerzo tiene su recompensa.
Les felicito por su pedagogica web.
Podrian indicarme cual es la formula de las coordenadas del pie de una perpendicular por un punto (X1,Y1) a una recta Ax+By+c=0
Serian tan amables de enviarme dos formulas:
1) Formula de la pendiente de la bisectriz de 45º relacionada con las pendientes de los lados del angulo de 90º.
2) Formulas de las coordenadas del punto/pie de una perpendicular que pasa por el punto P(x0,y0) y una recta Ax+By+c=0.
Gracias de antemano.
M.Angel
En los ejercicios 7 y 8, trazar las rectas que pasan por el punto dado con la pendiente indicada. Dibujar en un mismo sistema de coordenadas.
Hola tu indicación es muy buena, vamos a ir mejorando para un mejor entendimiento.
Me puede ayudar con este problema
la pendiente de una recta que pasa por el punto A(3, 2) es igual a 3/4. situar dos puntos sobre esta recta que disten 5 unidades de A.
con su gráfica mas
Alguien me puede ayudar por favor necesito dar un examen para repasar y no me salen las respuestas
Hola con gusto te ayudamos, podrías mencionar específicamente con cual ejercicio podemos darte una mejor explicación.
Determinar las ecuaciones parametricas del plano x-2y+z-1=0
Hola, me sirvio mucho, con que informacion podria ponerlos como refernecia en mi proyecto?
Hola que bueno que la pagina te ayudo, podrías poner como pagina de internet «Materíal didactico-Superprof».