Elige la opción correcta en cada caso:
El punto
pertenece a la recta:
Selecciona una respuesta.
Un punto pertenece a una recta si las coordenadas del punto satisfacen la ecuación de la recta. Comprobemos para cuál de las tres rectas se cumple esta condición:
Recta r 
Recta s 
Recta t 
Luego el punto
pertenece a la recta
.
El punto
:
Selecciona una respuesta.
Un punto pertenece a una recta si las coordenadas del punto satisfacen la ecuación de la recta.
Recta r Sustituimos las coordenadas del punto en la recta
: 
Luego el punto
no pertenece a la recta
. Comprobemos que los otros dos casos no se cumplen:
Recta s 
Así que el punto
no pertenece a la recta
.
Recta t 
Así que el punto
pertenece a la recta
.
El punto
pertenece a la recta:
Selecciona una respuesta.
Un punto pertenece a una recta si las coordenadas del punto satisfacen la ecuación de la recta. Comprobemos para cuál de las tres rectas se cumple esta condición:
Recta r 
Recta s 
Luego el punto
pertenece a la recta
.
Comprobemos por último que el punto no pertenece a la recta t:
Recta t

El punto
:
Selecciona una respuesta.
Un punto pertenece a una recta si las coordenadas del punto satisfacen la ecuación de la recta.
Recta r 
El punto
no pertenece a la recta
.
Recta s 
El punto
pertenece a la recta
.
Recta t 
Luego el punto
pertenece a la recta
.
Contesta a las siguientes cuestiones:
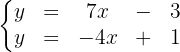
Halla el punto de intersección de las rectas
y 
Punto de interseccion
Este campo es obligatorio.
Para hallar el punto de intersección de las rectas, resolvemos el sistema:

Entonces el punto de intersección de las rectas r y s es
.
Halla el punto de intersección de las rectas
y 
Punto de interseccion
Este campo es obligatorio.
Para hallar el punto de intersección de las rectas, resolvemos el sistema:






Entonces el punto de intersección de las rectas r y s es
.
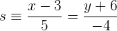
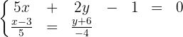
Halla el punto de intersección de las rectas
y 
Punto de interseccion
Este campo es obligatorio.
Los coeficientes de las rectas son proporcionales, pero el término independiente no lo es: 
Así que las rectas son paralelas, luego no existe punto de intersección.
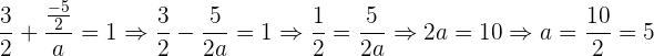
Halla a y b para que las rectas
y
se corten en el punto
.
a = , b =
Este campo es obligatorio.
Como las rectas tienen que cortarse en el punto
, ambas rectas deben pasar por este punto. Imponemos esta condición a la recta r y despejamos el valor de a.

Sustituimos las coordenadas del punto y el valor de a en la recta s, para obtener el valor de b.

Si tienes dudas puedes consultar la teoría
Resumir con IA:

Apuntes es una plataforma dirigida al estudio y la práctica de las matemáticas a través de la teoría y ejercicios interactivos que ponemos a vuestra disposición. Esta información está disponible para todo aquel/aquella que quiera profundizar en el aprendizaje de esta ciencia. Será un placer ayudaros en caso de que tengáis dudas frente algún problema, sin embargo, no realizamos un ejercicio que nos presentéis de 0 sin que hayáis si quiera intentado resolverlo. Ánimo, todo esfuerzo tiene su recompensa.
Les felicito por su pedagogica web.
Podrian indicarme cual es la formula de las coordenadas del pie de una perpendicular por un punto (X1,Y1) a una recta Ax+By+c=0
Serian tan amables de enviarme dos formulas:
1) Formula de la pendiente de la bisectriz de 45º relacionada con las pendientes de los lados del angulo de 90º.
2) Formulas de las coordenadas del punto/pie de una perpendicular que pasa por el punto P(x0,y0) y una recta Ax+By+c=0.
Gracias de antemano.
M.Angel
En los ejercicios 7 y 8, trazar las rectas que pasan por el punto dado con la pendiente indicada. Dibujar en un mismo sistema de coordenadas.
Hola tu indicación es muy buena, vamos a ir mejorando para un mejor entendimiento.
Me puede ayudar con este problema
la pendiente de una recta que pasa por el punto A(3, 2) es igual a 3/4. situar dos puntos sobre esta recta que disten 5 unidades de A.
con su gráfica mas
Alguien me puede ayudar por favor necesito dar un examen para repasar y no me salen las respuestas
Hola con gusto te ayudamos, podrías mencionar específicamente con cual ejercicio podemos darte una mejor explicación.
Determinar las ecuaciones parametricas del plano x-2y+z-1=0
Hola, me sirvio mucho, con que informacion podria ponerlos como refernecia en mi proyecto?
Hola que bueno que la pagina te ayudo, podrías poner como pagina de internet «Materíal didactico-Superprof».