Elige la opción correcta en cada caso
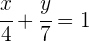
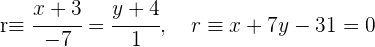
Calcula las ecuaciones paramétricas y continua de la recta 
Selecciona una respuesta.
1 Realizamos la suma vectorial

2 Obtenemos las ecuaciones paramétricas

3 Despejamos
en ambas ecuaciones y obtenemos la ecuación continua

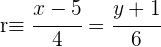
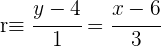
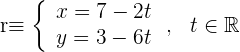
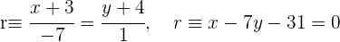
Calcula la ecuaciones continua y general de la recta 
Selecciona una respuesta.
1 Despejamos
en ambas ecuaciones y obtenemos la ecuación continua

2 Despejamos la ecuación continua igualando a cero y obtenemos la ecuación general

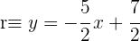
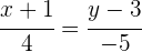
Calcula la ecuaciones general y explícita de la recta 
Selecciona una respuesta.
1 Despejamos la ecuación continua igualando a cero y obtenemos la ecuación general

2 Despejamos
en la ecuación general y obtenemos la ecuación explícita

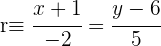
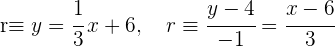
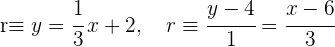
Calcula la ecuaciones explícita y continua de la recta 
Selecciona una respuesta.
1 Despejamos
en la ecuación dada y obtenemos la ecuación explícita

2 Reacomodamos la ecuación dada para que ambos lados posean denominadores y obtenemos la ecuación continua

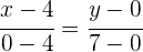
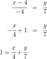
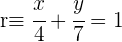
Calcula la ecuación canónica o segmentaria de la recta r que pasa por los puntos
.
Selecciona una respuesta.
1 Escribimos la ecuación continua que pasa por ambos puntos y obtenemos

2 Despejamos de manera que quede igualado a 1

3 Así, la ecuación canónica es

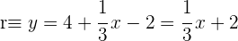
Calcula la ecuación general de 
Selecciona una respuesta.
1En primer lugar, pasamos la recta a su forma paramétrica

2Pasamos a su forma continua

3La ecuación general es

4Si multiplicamos por −1 obtenemos una ecuación equivalente

Calcula la ecuaciones vectorial y explícita de la recta 
Selecciona una respuesta.
1A partir de la ecuación paramétrica escribimos la ecuación vectorial

2A partir de la ecuación paramétrica escribimos la ecuación continua

3Despejando
obtenemos la ecuación explícita

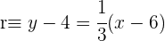
Calcula la ecuaciones explícita y punto-pendiente de la recta 
Selecciona una respuesta.
1A partir de la ecuación general, despejamos
y obtenemos la ecuación explícita

2Para obtener la ecuación punto - pendiente, despejamos la ecuación explícita

3Lo anterior se puede escribir como

Si tienes dudas puedes consultar la teoría
Resumir con IA:

Apuntes es una plataforma dirigida al estudio y la práctica de las matemáticas a través de la teoría y ejercicios interactivos que ponemos a vuestra disposición. Esta información está disponible para todo aquel/aquella que quiera profundizar en el aprendizaje de esta ciencia. Será un placer ayudaros en caso de que tengáis dudas frente algún problema, sin embargo, no realizamos un ejercicio que nos presentéis de 0 sin que hayáis si quiera intentado resolverlo. Ánimo, todo esfuerzo tiene su recompensa.
Les felicito por su pedagogica web.
Podrian indicarme cual es la formula de las coordenadas del pie de una perpendicular por un punto (X1,Y1) a una recta Ax+By+c=0
Serian tan amables de enviarme dos formulas:
1) Formula de la pendiente de la bisectriz de 45º relacionada con las pendientes de los lados del angulo de 90º.
2) Formulas de las coordenadas del punto/pie de una perpendicular que pasa por el punto P(x0,y0) y una recta Ax+By+c=0.
Gracias de antemano.
M.Angel
En los ejercicios 7 y 8, trazar las rectas que pasan por el punto dado con la pendiente indicada. Dibujar en un mismo sistema de coordenadas.
Hola tu indicación es muy buena, vamos a ir mejorando para un mejor entendimiento.
Me puede ayudar con este problema
la pendiente de una recta que pasa por el punto A(3, 2) es igual a 3/4. situar dos puntos sobre esta recta que disten 5 unidades de A.
con su gráfica mas
Alguien me puede ayudar por favor necesito dar un examen para repasar y no me salen las respuestas
Hola con gusto te ayudamos, podrías mencionar específicamente con cual ejercicio podemos darte una mejor explicación.
Determinar las ecuaciones parametricas del plano x-2y+z-1=0
Hola, me sirvio mucho, con que informacion podria ponerlos como refernecia en mi proyecto?
Hola que bueno que la pagina te ayudo, podrías poner como pagina de internet «Materíal didactico-Superprof».