Capítulos
Punto de incidencia
Un punto
pertenece a una recta de ecuación
, cuando las coordenadas del punto satisfacen la igualdad:

Cuando un punto
pertenece a una recta
se dice que
incide en
o que
pasa por
.
Ejemplo:Analiza si los puntos
pertenecen o no a la recta
.
1 Veamos si
pertenece a la recta
, para esto sustituimos sus coordenadas

2 Como se satisface la igualdad, entonces
incide en 
3 Veamos si
pertenece a la recta
, para esto sustituimos sus coordenadas

4 Como no se satisface la igualdad, entonces
no incide en 
Punto de intersección
Cuando dos rectas
tienen un punto común, se dice que tienen un punto de intersección.
Para hallar las coordenadas del punto de intersección de dos rectas, se resuelve el sistema formado por las dos ecuaciones de las rectas.
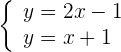
Ejemplo: Hallar el punto de intersección de las rectas de ecuaciones
.
1 Escribimos el sistema de ecuaciones

2 Despejamos
en ambas ecuaciones

3 Igualamos ambas ecuaciones y resolviendo para
se obtiene

4 Sustituimos el valor de
en cualquiera de las dos ecuaciones y obtenemos 

5 Así, el punto de intersección es 
Resumir con IA:









Apuntes es una plataforma dirigida al estudio y la práctica de las matemáticas a través de la teoría y ejercicios interactivos que ponemos a vuestra disposición. Esta información está disponible para todo aquel/aquella que quiera profundizar en el aprendizaje de esta ciencia. Será un placer ayudaros en caso de que tengáis dudas frente algún problema, sin embargo, no realizamos un ejercicio que nos presentéis de 0 sin que hayáis si quiera intentado resolverlo. Ánimo, todo esfuerzo tiene su recompensa.
Les felicito por su pedagogica web.
Podrian indicarme cual es la formula de las coordenadas del pie de una perpendicular por un punto (X1,Y1) a una recta Ax+By+c=0
Serian tan amables de enviarme dos formulas:
1) Formula de la pendiente de la bisectriz de 45º relacionada con las pendientes de los lados del angulo de 90º.
2) Formulas de las coordenadas del punto/pie de una perpendicular que pasa por el punto P(x0,y0) y una recta Ax+By+c=0.
Gracias de antemano.
M.Angel
En los ejercicios 7 y 8, trazar las rectas que pasan por el punto dado con la pendiente indicada. Dibujar en un mismo sistema de coordenadas.
Hola tu indicación es muy buena, vamos a ir mejorando para un mejor entendimiento.
Me puede ayudar con este problema
la pendiente de una recta que pasa por el punto A(3, 2) es igual a 3/4. situar dos puntos sobre esta recta que disten 5 unidades de A.
con su gráfica mas
Alguien me puede ayudar por favor necesito dar un examen para repasar y no me salen las respuestas
Hola con gusto te ayudamos, podrías mencionar específicamente con cual ejercicio podemos darte una mejor explicación.
Determinar las ecuaciones parametricas del plano x-2y+z-1=0
Hola, me sirvio mucho, con que informacion podria ponerlos como refernecia en mi proyecto?
Hola que bueno que la pagina te ayudo, podrías poner como pagina de internet «Materíal didactico-Superprof».