Capítulos
Combinación lineal
Una combinación lineal de dos o más vectores es el vector que se obtiene al sumar esos vectores multiplicados por escalares

Cualquier vector se puede poner como combinación lineal de otros que tengan distinta dirección.

Esta combinación lineal es única.

Vectores linealmente dependientes
Varios vectores libres del plano se dice que son linealmente dependientes si hay una combinación lineal de ellos que es igual al vector cero, sin que sean cero todos los coeficientes de la combinación lineal.

Propiedades
1 Si varios vectores son linealmente dependientes, entonces al menos uno de ellos se puede expresar como combinación lineal de los demás.

También se cumple el reciproco: si un vector es combinación lineal de otros, entonces todos los vectores son linealmente dependientes.
2 Dos vectores del plano son linealmente dependientes si, y sólo si, son paralelos.
3 Dos vectores libres del plano
son linealmente dependientes si sus componentes son proporcionales.

4
vectores en
son linealmente dependientes si su determinante es igual a cero.
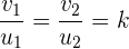
Ejemplo:
Determinar los valores de
para que sean linealmente dependientes los vectores
. Escribir
como combinación lineal de
y
, siendo
el valor calculado.
Los vectores son linealmente dependientes si el determinante de la matriz que forman es nulo, es decir que el rango de la matriz es menor que 3.
1Calculamos el determinante

2Igualamos el determinante a cero

3Resolvemos la ecuación y obtenemos

4Así para
los vectores son
. Escribimos
en términos de
y 

5Calculamos los valores de los escalares 

6Igualando las coordenadas del lado izquierdo con las del derecho y resolviendo las ecuaciones obtenemos 
7Así la combinación lineal buscada es

8Se repiten los pasos 4, 5, 6 y 7 para 
Vectores linealmente independientes
Varios vectores libres son linealmente independientes si ninguno de ellos puede ser escrito con una combinación lineal de los restantes, de manera que si la combinación lineal es igual a cero, entonces cada uno de sus coeficientes es igual a cero

Los vectores linealmente independientes tienen distinta dirección y sus componentes no son proporcionales.
vectores en
son linealmente independientes si su determinante es distinto de cero.
Ejemplo:
Estudiar si son linealmente dependientes o independientes los vectores 
1Calculamos el determinante de los vectores

2Como el determinante es igual a cero, concluimos que los vectores son linealmente dependientes.
Base
Tres vectores
con distinta dirección forman una base, porque cualquier vector
del espacio se puede representar como combinación lineal de ellos

Las coordenadas del vector respecto a la base son:

Base ortogonal
Una base es ortogonal si los vectores de la base son perpendiculares entre sí.
Base ortonormal
Una base es ortonormal si los vectores de la base son perpendiculares entre sí, y además tienen módulo 1.
La base formada por los vectores
se denomina base canónica.
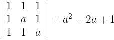
Ejemplo:
¿Para que valores de
los vectores
forman una base?
1Calculamos el determinante de los vectores

2El determinante se hace cero para
, luego los vectores son linealmente dependientes y no forman una base si
.
3El determinante es distinto de cero para
, luego los vectores son linealmente independientes y forman una base si
.
Resumir con IA:









Apuntes es una plataforma dirigida al estudio y la práctica de las matemáticas a través de la teoría y ejercicios interactivos que ponemos a vuestra disposición. Esta información está disponible para todo aquel/aquella que quiera profundizar en el aprendizaje de esta ciencia. Será un placer ayudaros en caso de que tengáis dudas frente algún problema, sin embargo, no realizamos un ejercicio que nos presentéis de 0 sin que hayáis si quiera intentado resolverlo. Ánimo, todo esfuerzo tiene su recompensa.
Suma de vectores f1=450n,30. 1FR=f1+f6
como sacar el residuo de una multiplicación
Hallar las coordenadas de punto medio del segmento que une (4,7);(14,12)
Hola, podrias mencionar que tipo de multiplicación (normal, de vectores etc.).
si se aplica una traslación al punto E(0;2) se obtiene el punto E'(-1;-5),indicar el vector de translación
Traslaciones Juan es un diseñador gráfico y de acuerdo con las exigencias de uno de sus clientes debe reorganizar los elementos de uno de los avisos publicitarios observemos en la ilustración los cambios y desplazamientos que realizo.
En la ilustración el barco se trasladó dos unidades hacia arriba.
Una traslación es el desplazamiento de una figura sobre un plano sin girarla en ninguna dirección para indicar una traslación usamos una flecha que muestra el sentido hacia donde se hace el movimiento:
Derecha , izquierda, arriba, abajo, occidente, Oriente, Norte o sur) y la magnitud (número de unidades que se mueve la figura).
En el aviso publicitario,? Cuál de los siguientes desplazamientos se realizó con el logo del pez? Márcalo con x
Vectores 400n+horizontal y a la izquierda