Capítulos
¿A qué llamamos vectores linealmente dependientes?
Varios vectores libres del plano (
) se dice que son linealmente dependientes si hay una combinación lineal de ellos que es igual al vector cero (
), sin que sean cero todos los coeficientes (
) de la combinación lineal.
Nota: El vector cero o vector nulo se refiere a un vector que posee módulo nulo y todas sus componentes son nulas. Se representa como
.
Propiedades de vectores linealmente dependientes
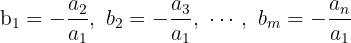
1 Si varios vectores son linealmente dependientes, entonces al menos uno de ellos se puede expresar como combinación lineal de los demás.
Para ver esto tomemos los vectores linealmente dependientes
, ya que son linealmente dependientes entonces podemos escribir:
Ahora restamos el vector
a ambos lados de la igualdad y tenemos:
Lo siguiente es dividir todo entre
(para esto suponemos que
)
Por último reescribimos y tomamos como
para visualizar mejor las cosas, de este modo tenemos:
Por lo que al final llegamos a que efectivamente podemos expresar un vector como combinación lineal de los demás.
También se cumple el recíproco: si un vector es combinación lineal de otros, entonces todos los vectores son linealmente dependientes.
2 Dos vectores son linealmente dependientes si, y sólo si, son paralelos.
Para ver la veracidad de esto tomemos dos vectores
y
y supongamos que son paralelos, por lo que existe un número
tal que:
Por lo que podemos restar
a ambos lados de la ecuación y tenemos:
Por lo que tenemos una combinación lineal de los vectores
y
donde los coeficientes son distintos de cero. Por lo que por definición los vectores son linealmente dependientes.
3 Dos vectores libres
y
son linealmente dependientes si sus componentes son proporcionales.
Esto se sigue directamente de la propiedad anterior, ya que las componentes de los vectores son proporcionales si existe un número
tal que:
Ejemplo de ejercicio con vectores linealmente dependientes
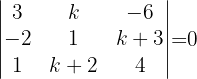
Determinar los valores de
para que sean linealmente dependientes los vectores
,
y
. Escribir
como combinación lineal de
y
, siendo
el valor calculado.
Los vectores son linealmente dependientes si el determinante de la matriz que forman es nulo, es decir que el rango de la matriz es menor que
.
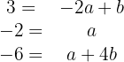
Entonces igualamos el determinante a
y resolvemos para 
Si resolvemos usando la fórmula general para ecuaciones de segundo grado obtenemos que los valores son:
y 
Para resolver la segunda parte utilizaremos el valor de
.
Por lo que tenemos que encontrar dos números
y
tales que:
Por lo que tenemos el siguiente sistema:
De la segunda ecuación tenemos que
, por lo que si sustituimos ese valor en la tercera ecuación tenemos:
Por lo que tenemos que la combinación lineal es:

Resumir con IA:









Apuntes es una plataforma dirigida al estudio y la práctica de las matemáticas a través de la teoría y ejercicios interactivos que ponemos a vuestra disposición. Esta información está disponible para todo aquel/aquella que quiera profundizar en el aprendizaje de esta ciencia. Será un placer ayudaros en caso de que tengáis dudas frente algún problema, sin embargo, no realizamos un ejercicio que nos presentéis de 0 sin que hayáis si quiera intentado resolverlo. Ánimo, todo esfuerzo tiene su recompensa.
Suma de vectores f1=450n,30. 1FR=f1+f6
como sacar el residuo de una multiplicación
Hallar las coordenadas de punto medio del segmento que une (4,7);(14,12)
Hola, podrias mencionar que tipo de multiplicación (normal, de vectores etc.).
si se aplica una traslación al punto E(0;2) se obtiene el punto E'(-1;-5),indicar el vector de translación
Traslaciones Juan es un diseñador gráfico y de acuerdo con las exigencias de uno de sus clientes debe reorganizar los elementos de uno de los avisos publicitarios observemos en la ilustración los cambios y desplazamientos que realizo.
En la ilustración el barco se trasladó dos unidades hacia arriba.
Una traslación es el desplazamiento de una figura sobre un plano sin girarla en ninguna dirección para indicar una traslación usamos una flecha que muestra el sentido hacia donde se hace el movimiento:
Derecha , izquierda, arriba, abajo, occidente, Oriente, Norte o sur) y la magnitud (número de unidades que se mueve la figura).
En el aviso publicitario,? Cuál de los siguientes desplazamientos se realizó con el logo del pez? Márcalo con x
Vectores 400n+horizontal y a la izquierda