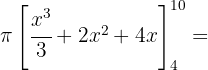
Hallar el volumen del tronco de cono engendrado por la rotación alrededor
del área limitada por

Un tronco de cono esta determindado por un circunferencia en función de unparámetro. En este caso el radio de dicha circuferencia esta dado por
yel parámetro
esta entre
.
Recordemos que el área de una circunferencia es
por el radio al cuadrado.
Dados los limites del enunciado y que deseamos hallar el volumen de un tronco entonces debemos hallar la integral del área de una circunferencia de radio
, esto es,


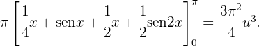
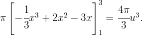
Calcular el volumen que engendra un triángulo de vértices
al girar
alrededor del eje 
Primero debemos hallar las rectas que determinan el triángulo. La primera de ellases dada por el punto
. Las dos siguientes estan dadas por, Ecuación de la recta que pasa por

Ecuación de la recta que pasa por

Dado que vamos a rotar este triángulo entonces el volumen esta determinado por el área de una circunferencia. Y debemos considerar que estos radios dependen de las rectas antes calculadas.
Primero
va de
a
con la recta
y luego de
a
con la recta
.
Finalmente recordemos que el área de una circunferencia es
por el radio al cuadrado. Así el volumen es:






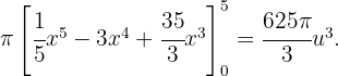
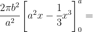
Hallar el volumen del tronco de cono engendrado por el trapecio que limita el eje de abscisas, la recta
y las coordenadas correspondientes a
y
al girar alrededor de 
Dado que tenemos un tronco de cono, el cual se genera de rotar el trapecio limitadopor
y
,
. El volumen de este trapecio se obtiene al integral elárea de una circunferencia de radio
.
Recordemos que el área de una circunferencia es
por el radio al cuadrado, 


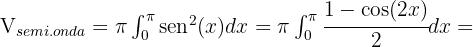
Calcular el volumen engendrado por una semionda de la sinusoide
al girar alrededor del eje 
Dado que vamos a rotar la función
alredor del eje
. El volumen deesta figura se obtiene al sumar el volumen de circunferencias de radio
entre los puntos
y 
Recordemos que el área de una circunferencia es
por el radio al cuadrado, así 


Calcular el volumen engendrado al girar alrededor del eje
el recinto limitado por las gráficas de 
Para hallar la región limita por las gráficas de las funciones
primero debemos hallar los puntos de intersección de estas graficas, los cuales determinan los límites de integración.

El área de la región es el área de un disco, la cual esta determinada por la resta de las área de dos circunferencias, la primera de radio
y la segunda de radio 
Recordemos que el área de una circunferencia es
por el radio al cuadrado, así 


Hallar el volumen del cuerpo revolución engendrado al girar alrededor del eje
, la región determinada por la función
, el eje de abscisas y las rectas
y 
Notemos que este volumen lo hallaremos usando la integral. Primero, los límites deintegración son
y 
Segundo, la función que deseamos integrar es el áreade una circunferencia de radio
.
Recordemos que el área de una circunferencia es
por el radio al cuadrado, así 


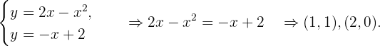
Calcular el volumen del cuerpo engendrado al girar alrededor del eje
el recinto limitado por las gráficas de 
Primero determinamos los puntos de intersección de estas dos graficas, los cuales son

Ahora dibujamos la región que vamos a rotar,

La parábola queda por encima de la recta en el intervalo de integración.
Notemos que el área de esta región es el área de un disco que se obtiene al restar el área de dos circuferencias de radios
y
respectivamente.
Recordemos que el área de una circunferencia es
por el radio al cuadrado, así 

Hallar el volumen engendrado por el círculo
al girar alrededor del eje 
Primero reescribimos la ecuación del circulo para después obtener su radio y centro,
El centro de la circunferencia es
y el radio
.
Puntos de corte con el eje
:


Con esta información podemos calcular el volumen de la región, el cual es 


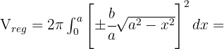
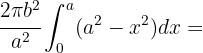
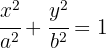
Hallar el volumen de la figura engendrada al girar la elipse
alrededor del eje 
Apartir de la ecuación de la elipse, obtenemos la función que determina la región a la cualle debemos hallar el volumen,


Por ser la elipse una curva simétrica, el volumen pedido es 2 en veces el volumen
engendrado por el arco
entre
y 





Apuntes es una plataforma dirigida al estudio y la práctica de las matemáticas a través de la teoría y ejercicios interactivos que ponemos a vuestra disposición. Esta información está disponible para todo aquel/aquella que quiera profundizar en el aprendizaje de esta ciencia. Será un placer ayudaros en caso de que tengáis dudas frente algún problema, sin embargo, no realizamos un ejercicio que nos presentéis de 0 sin que hayáis si quiera intentado resolverlo. Ánimo, todo esfuerzo tiene su recompensa.
Fe de erratas:
Ej. 3: sobra una raíz de x en el denominador antes del
Resultado final.
Ej.4: En el resultado final falta el signo menos.
Un saludo.
Hola revise los ejemplos de muchas ejercicios y no encontré los errores, podrías hacerme el favor de darme mas detalles para poder encontrarlos y quitar esos errores, seria de mucha ayuda.
Podrían brindarme información sobre el autor y la fecha de publicación del articulo? Estoy realizando una monografía en matemáticas y esta agina me ha servido mucho pero necesito esa información para referenciar correctamente la información.
¡Hola Yanela! 👋 Desde Superprof nos alegra que el artículo te haya sido útil. 😊 Para referenciarlo correctamente en tu monografía, puedes citarlo de la siguiente manera:
«Superprof. Ejercicios resueltos de integrales por sustitución. [En línea] Disponible en: [URL del artículo].»
Por motivos de privacidad, no podemos facilitar datos personales del autor ni fecha exacta de publicación. 📚✨
Veo un error en el ejercicio 9 a la hora de devolver la variable, recuerda que x^2+1 = u^2, no x^2+1 = u
Hola tienes razón, una disculpa y ya se corrigió.
Hay un error en el integral de seno de x multiplicado por coseno de x.
Haciendo sustitución queda u^2/2 lo que indica que es sen(x)^2/2.
Hola en tu razonamiento estas bien, pero hay una cuestión para resolver este ejercicio hay dos formas una como tu dices y otra usando identidades trigonométricas, puedes comprobar que sale el mismo resultado en la integral definida.
holaa, en el caso 4, en la última identidad están mal los signos, sería sen(a)sen(b)=1/2(cos(a-b)-cos(a+b))
Hola la manera en como presentas la fórmula esta bien, pero en la propiedad 4 que mencionas es lo mismo pero escrita de forma diferente, si multiplicas por el signo negativo queda igual a lo que tienes, si tienen alguna duda mencionalo.