Capítulos
Te damos la bienvenida a nuestra sección dedicada a los Ejercicios de Áreas de Funciones. Las funciones matemáticas son herramientas poderosas para describir y modelar fenómenos en diversas disciplinas. En esta guía, te guiaremos a través de ejercicios diseñados para comprender y calcular áreas bajo curvas representadas por funciones.
La determinación del área bajo una curva de función implica aplicar conceptos de cálculo integral. Estos ejercicios no solo fortalecerán tu comprensión de las funciones matemáticas, sino que también te proporcionarán herramientas prácticas para resolver problemas del mundo real que involucren el cálculo de áreas. Acompáñanos en este emocionante viaje matemático donde aplicaremos conceptos avanzados para abordar desafíos relacionados con funciones y sus áreas.
Ejercicios propuestos
Ejercicios propuestos
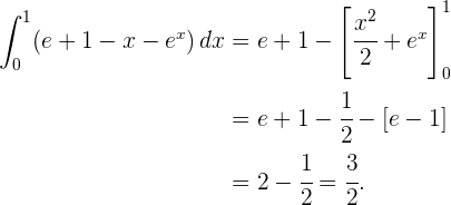
1 Calcular el área del recinto limitado por la curva
y el eje
.
Calcular el área del recinto limitado por la curva
y el eje
.
1 En primer lugar hallamos los puntos de corte con el eje
para representar la curva y conocer los límites de integración.


2 En segundo lugar se calcula la integral:

2 Hallar el área de la región del plano encerrada por la curva
entre el punto de corte con el eje
y el punto de abscisa
.
Hallar el área de la región del plano encerrada por la curva
entre el punto de corte con el eje
y el punto de abscisa
.
1 En primer lugar calculamos el punto de corte con el eje de abscisas.



2 La integral se resuelve mediante integración por partes




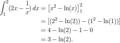
3 Hallar el área limitada por la recta
, el eje
y las ordenadas de
y
.
Hallar el área limitada por la recta
, el eje
y las ordenadas de
y
.


4 Calcular el área limitada por la curva
y el eje de abscisas.
Calcular el área limitada por la curva
y el eje de abscisas.
1 Calculamos los cruces de la función con el eje de las abscisas


2 Planteamos y resolvemos la integral definida

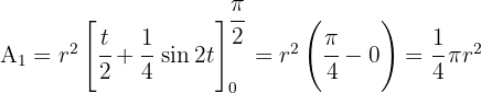
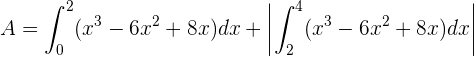
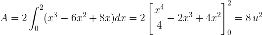
5 Calcular el área de las regiones del plano limitada por la curva
y el eje
.
Calcular el área de las regiones del plano limitada por la curva f(x) = x³ − 6x² + 8x y el eje OX.
1 Calculamos los cruces de la función con el eje de las abscisas



2 Planteamos una integral definida

El área sobre el eje
es igual al área en valor absoluto del área bajo el eje
(en el intervalo dado), por tanto se puede escribir:
3 Resolvemos las integrales

6 Calcular el área del círculo de radio
.
Calcular el área del círculo de radio
.
1 Partimos de la ecuación de la circunferencia y despejamos la 


2 El área del círculo es cuatro veces el área del primer cuadrante, por lo que

3 Calculamos la integral indefinida por cambio de variable.



4 Hallamos los nuevos límites de integración y sustituimos
[


7 Hallar el área de una elipse de semiejes
y
.

1 Partimos de la ecuación de la elipse

2 Por ser la elipse una curva simétrica, el área pedida será
veces el área encerrada en el primer cuadrante y los ejes de coordenadas.


3 Resolvemos la integral aplicando un cambio de variable


4 Hallamos los nuevos límites de integración y sustituimos


8 Calcular el área limitada por la curva
y la recta
.
Calcular el área limitada por la curva
y la recta
.
1 En primer lugar hallamos los puntos de corte de las dos funciones para conocer los límites de integración.


2 De
a
, la recta queda por encima de la parábola, por lo que


9 Calcular el área limitada por la parábola
y la recta
.
Calcular el área limitada por la parábola
y la recta
.
1 Calculamos los puntos de intersección de las funciones


2 De
a
, la parábola queda por encima de la recta, por lo que

10 Calcular el área limitada por las gráficas de las funciones
e
.
Calcular el área limitada por las gráficas de las funciones
e
.
1 En primer lugar representamos las parábolas a partir del vértice y los puntos de corte con los ejes.





2 Hallamos también los puntos de corte de las funciones, que nos darán los límites de integración.




11 Calcula el área de la figura plana limitada por las parábolas
,
.
Calcula el área de la figura plana limitada por las parábolas
,
.
1 Representamos las parábolas a partir del vértice y los puntos de corte con los ejes.

2 Consideramos las áreas que quedan sobre y debajo del eje de las abscisas para poder calcular el área total
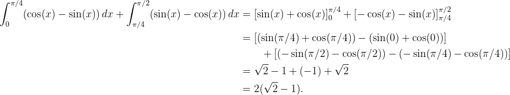
12 Encuentra el área entre la curva
y la curva
en el intervalo
.
1
, tenemos
Entonces, la función
siempre es mayor o igual a
en el intervalo propuesto.
2
en el intervalo para encontrar el área:

13 Encuentra el área entre la curva
y la curva
en el intervalo
.
1
, tenemos
2
en el intervalo para encontrar el área:

14 Encuentra el área entre la curva
y la curva
en el intervalo
.
1
, tenemos
De manera simple, tenemos que
para todo
. En particular,
. Entonces, para calcular el área, debemos separar la integral en este punto, donde se encuentra el cambio de la función dominante (la que tiene el valor más grande).
2
en el intervalo
, pero luego
en el intervalo
. Por lo tanto, el área entre las curvas es

15 Encuentra el área entre la curva
y la curva
en el intervalo
.
1
, tenemos
Notemos que en
tenemos
.
2
en el intervalo
más la integral de
en el intervalo
:

Calcular el área del recinto limitado por la curva
y el eje
.
Calcular el área del recinto limitado por la curva
y el eje
.
1 En primer lugar hallamos los puntos de corte con el eje
para representar la curva y conocer los límites de integración.


2 En segundo lugar se calcula la integral:

Hallar el área de la región del plano encerrada por la curva
entre el punto de corte con el eje
y el punto de abscisa
.
Hallar el área de la región del plano encerrada por la curva
entre el punto de corte con el eje
y el punto de abscisa
.
1 En primer lugar calculamos el punto de corte con el eje de abscisas.




2 La integral se resuelve mediante integración por partes




Hallar el área limitada por la recta
, el eje
y las ordenadas de
y
.
Hallar el área limitada por la recta
, el eje
y las ordenadas de
y
.


Calcular el área limitada por la curva
y el eje de abscisas.
Calcular el área limitada por la curva
y el eje de abscisas.
1 Calculamos los cruces de la función con el eje de las abscisas


2 Planteamos y resolvemos la integral definida

Calcular el área de las regiones del plano limitada por la curva
y el eje
.
Calcular el área de las regiones del plano limitada por la curva f(x) = x³ − 6x² + 8x y el eje OX.
1 Calculamos los cruces de la función con el eje de las abscisas



2 Planteamos una integral definida

El área sobre el eje
es igual al área en valor absoluto del área bajo el eje
(en el intervalo dado), por tanto se puede escribir:
3 Resolvemos las integrales

Calcular el área del círculo de radio
.
Calcular el área del círculo de radio
.
1 Partimos de la ecuación de la circunferencia y despejamos la 


2 El área del círculo es cuatro veces el área del primer cuadrante, por lo que

3 Calculamos la integral indefinida por cambio de variable.





4 Hallamos los nuevos límites de integración y sustituimos
[


Hallar el área de una elipse de semiejes
y
.

1 Partimos de la ecuación de la elipse

2 Por ser la elipse una curva simétrica, el área pedida será
veces el área encerrada en el primer cuadrante y los ejes de coordenadas.


3 Resolvemos la integral aplicando un cambio de variable




4 Hallamos los nuevos límites de integración y sustituimos


Calcular el área limitada por la curva
y la recta
.
Calcular el área limitada por la curva
y la recta
.
1 En primer lugar hallamos los puntos de corte de las dos funciones para conocer los límites de integración.


2 De
a
, la recta queda por encima de la parábola, por lo que


Calcular el área limitada por la parábola
y la recta
.
Calcular el área limitada por la parábola
y la recta
.
1 Calculamos los puntos de intersección de las funciones


2 De
a
, la parábola queda por encima de la recta, por lo que

Calcular el área limitada por las gráficas de las funciones
e
.
Calcular el área limitada por las gráficas de las funciones
e
.
1 En primer lugar representamos las parábolas a partir del vértice y los puntos de corte con los ejes.





2 Hallamos también los puntos de corte de las funciones, que nos darán los límites de integración.




Calcula el área de la figura plana limitada por las parábolas
,
.
Calcula el área de la figura plana limitada por las parábolas
,
.
1 Representamos las parábolas a partir del vértice y los puntos de corte con los ejes.






2 Consideramos las áreas que quedan sobre y debajo del eje de las abscisas para poder calcular el área total




Encuentra el área entre la curva
y la curva
en el intervalo
.
1
Primero analizamos los puntos de intersección de dichas curvas. Notemos que en los puntos
, tenemos

Entonces, la función
siempre es mayor o igual a
en el intervalo propuesto.
Ahora, calculamos la integral de
en el intervalo para encontrar el área:


Encuentra el área entre la curva
y la curva
en el intervalo
.
1
Primero analizamos los puntos de intersección de dichas curvas. Notemos que en los puntos
, tenemos

2
Ahora, calculamos la integral de
en el intervalo para encontrar el área:


Encuentra el área entre la curva
y la curva
en el intervalo
.
1
Primero analizamos los puntos de intersección de dichas curvas. Notemos que en los puntos
, tenemos

De manera simple, tenemos que
para todo
. En particular,
. Entonces, para calcular el área, debemos separar la integral en este punto, donde se encuentra el cambio de la función dominante (la que tiene el valor más grande).
2
Como notamos anteriormente,
en el intervalo
, pero luego
en el intervalo
. Por lo tanto, el área entre las curvas es


Encuentra el área entre la curva
y la curva
en el intervalo
.
1
Primero analizamos los puntos de intersección de dichas curvas. Notemos que en los puntos
, tenemos

Notemos que en
tenemos
.
2
Entonces, el área bajo la curva es la integral de
en el intervalo
más la integral de
en el intervalo
:


Resumir con IA:









Apuntes es una plataforma dirigida al estudio y la práctica de las matemáticas a través de la teoría y ejercicios interactivos que ponemos a vuestra disposición. Esta información está disponible para todo aquel/aquella que quiera profundizar en el aprendizaje de esta ciencia. Será un placer ayudaros en caso de que tengáis dudas frente algún problema, sin embargo, no realizamos un ejercicio que nos presentéis de 0 sin que hayáis si quiera intentado resolverlo. Ánimo, todo esfuerzo tiene su recompensa.
Fe de erratas:
Ej. 3: sobra una raíz de x en el denominador antes del
Resultado final.
Ej.4: En el resultado final falta el signo menos.
Un saludo.
Hola revise los ejemplos de muchas ejercicios y no encontré los errores, podrías hacerme el favor de darme mas detalles para poder encontrarlos y quitar esos errores, seria de mucha ayuda.
Podrían brindarme información sobre el autor y la fecha de publicación del articulo? Estoy realizando una monografía en matemáticas y esta agina me ha servido mucho pero necesito esa información para referenciar correctamente la información.
¡Hola Yanela! 👋 Desde Superprof nos alegra que el artículo te haya sido útil. 😊 Para referenciarlo correctamente en tu monografía, puedes citarlo de la siguiente manera:
«Superprof. Ejercicios resueltos de integrales por sustitución. [En línea] Disponible en: [URL del artículo].»
Por motivos de privacidad, no podemos facilitar datos personales del autor ni fecha exacta de publicación. 📚✨
Veo un error en el ejercicio 9 a la hora de devolver la variable, recuerda que x^2+1 = u^2, no x^2+1 = u
Hola tienes razón, una disculpa y ya se corrigió.
Hay un error en el integral de seno de x multiplicado por coseno de x.
Haciendo sustitución queda u^2/2 lo que indica que es sen(x)^2/2.
Hola en tu razonamiento estas bien, pero hay una cuestión para resolver este ejercicio hay dos formas una como tu dices y otra usando identidades trigonométricas, puedes comprobar que sale el mismo resultado en la integral definida.
holaa, en el caso 4, en la última identidad están mal los signos, sería sen(a)sen(b)=1/2(cos(a-b)-cos(a+b))
Hola la manera en como presentas la fórmula esta bien, pero en la propiedad 4 que mencionas es lo mismo pero escrita de forma diferente, si multiplicas por el signo negativo queda igual a lo que tienes, si tienen alguna duda mencionalo.