Capítulos
Definición de integrales de funciones racionales
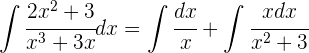
En la integración de funciones racionales se trata de hallar la integral , siendo
y
polinomios.
En primer lugar, supondremos el grado de es menor que el de
, si no fuera así se dividiría.

es el cociente y
el resto de la división polinómica.
Una vez que sabemos que el denominador tiene mayor grado que numerador, descomponemos el denominador en factores.
Dependiendo de las raíces del denominador nos encontramos con los siguientes casos:
El denominador tiene sólo raíces reales simples
Tener raíces significa tener factores lineales que no se repiten, es decir,

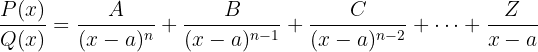
La fracción puede escribirse así:

y
son números que se obtienen efectuando la suma e identificando coeficientes o dando valores a
.
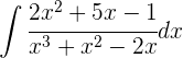
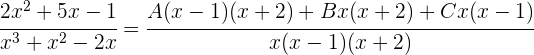
Ejemplo

Como el grado del denominador es menor que el grado del numerador comenzamos por descomponer el denominador en factores
Se efectúa la suma:

Como las dos fracciones tienen el mismo denominador, los numeradores han de ser iguales:

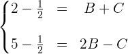
Calculamos los coeficientes de y
dando a la
los valores que anulan al denominador.

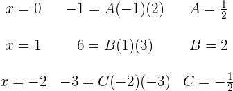
Se calculan las integrales de las fracciones simples:

Haciendo cambios de variables respectivamente ,
y
, para finalmente aplicar la integral inmediata

Otra forma de hallar los coeficientes es realizando las operaciones e igualando coeficientes.

Igualamos coeficientes:
Resolviendo el sistema encontramos el valor de , sustituyendolo en las primeras dos ecuaciones tenemos:


Para finalmente, encontrar los valores y
.
El denominador tiene raíces reales simples y con repetición
En este caso podríamos tener factores de la siguiente forma:

La fracción puede escribirse así:

y
son números que se obtienen efectuando la suma e identificando coeficientes o dando valores a
.
Ejemplo

Como el grado del denominador es menor que el grado del numerador comenzamos por descomponer el denominador en factores
Se efectúa la suma:

Como las dos fracciones tienen el mismo denominador, los numeradores han de ser iguales:

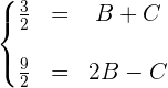
Calculamos los coeficientes de y
realizando las operaciones e igualando coeficientes.

Igualamos coeficientes:
Resolviendo el sistema encontramos el valor de , sustituyendolo en la segunda ecuación tenemos:
Para finalmente, encontrar el valor de C:
.
Se calculan las integrales de las fracciones:

La 1er integral es una integral de potencias y haciendo cambios de variables respectivamente para la 2da y 3er integral y
, para finalmente aplicar las integrales inmediatas

El denominador tiene raíces complejas y simples
En este caso tenemos factores de la forma:

La fracción puede escribirse así:

y
son números a determinar.
Ejemplo

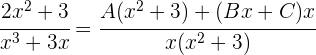
Como el grado del denominador es menor que el grado del numerador comenzamos por descomponer el denominador en factores

Se efectúa la suma:

Como las dos fracciones tienen el mismo denominador, los numeradores han de ser iguales:

Calculamos los coeficientes de y
realizando las operaciones e igualando coeficientes.

Igualamos coeficientes:

Resolviendo el sistema encontramos el valor de y
, sustituyendo el valor de A en la primera ecuación tenemos:

Se calculan las integrales de las fracciones:

Haciendo cambios de variables respectivamente y
, para finalmente aplicar la integral inmediata

Apuntes es una plataforma dirigida al estudio y la práctica de las matemáticas a través de la teoría y ejercicios interactivos que ponemos a vuestra disposición. Esta información está disponible para todo aquel/aquella que quiera profundizar en el aprendizaje de esta ciencia. Será un placer ayudaros en caso de que tengáis dudas frente algún problema, sin embargo, no realizamos un ejercicio que nos presentéis de 0 sin que hayáis si quiera intentado resolverlo. Ánimo, todo esfuerzo tiene su recompensa.
Podrían brindarme información sobre el autor y la fecha de publicación del articulo? Estoy realizando una monografía en matemáticas y esta agina me ha servido mucho pero necesito esa información para referenciar correctamente la información.
¡Hola Yanela! 👋 Desde Superprof nos alegra que el artículo te haya sido útil. 😊 Para referenciarlo correctamente en tu monografía, puedes citarlo de la siguiente manera:
«Superprof. Ejercicios resueltos de integrales por sustitución. [En línea] Disponible en: [URL del artículo].»
Por motivos de privacidad, no podemos facilitar datos personales del autor ni fecha exacta de publicación. 📚✨
Veo un error en el ejercicio 9 a la hora de devolver la variable, recuerda que x^2+1 = u^2, no x^2+1 = u
Hola tienes razón, una disculpa y ya se corrigió.
Hay un error en el integral de seno de x multiplicado por coseno de x.
Haciendo sustitución queda u^2/2 lo que indica que es sen(x)^2/2.
Hola en tu razonamiento estas bien, pero hay una cuestión para resolver este ejercicio hay dos formas una como tu dices y otra usando identidades trigonométricas, puedes comprobar que sale el mismo resultado en la integral definida.
holaa, en el caso 4, en la última identidad están mal los signos, sería sen(a)sen(b)=1/2(cos(a-b)-cos(a+b))
Hola la manera en como presentas la fórmula esta bien, pero en la propiedad 4 que mencionas es lo mismo pero escrita de forma diferente, si multiplicas por el signo negativo queda igual a lo que tienes, si tienen alguna duda mencionalo.