Calcular las integrales trigonométricas:

Aplicando integrales inmediatas de funciones trigonométricas tenemos:


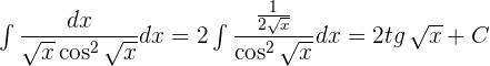
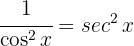
Aplicando la integral inmediata de potencias y de la función trigonométrica secante tenemos:


Aplicando el cambio de variable
, tenemos una integral inmediata, entonces:


Aplicando el cambio de variable
, tenemos:


Aplicando el cambio de variable
, tenemos:


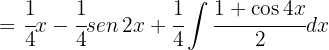
Comenzamos separando el
y utilizamos la identidad trigonométrica
, entonces:


Hacemos un cambio de variable
y
a la segunda integral


Utilizamos la identidad trigonométrica
y obtenemos:


utilizando la identidad
para la tercer integral, tenemos:




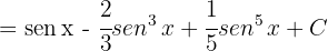
Comenzamos separando los senos y usando la identidad trigonométrica
, entonces:




Hacemos los cambios de variables para cada una de las integrales y obtenemos:


Usando que
, tenemos:

Haciendo los cambios de variable a cada integral tenemos:


Utilizamos la identidad 


Separamos el coseno y utilizando la identidad trigonométrica 


Haciendo los cambios de variables a cada integral, tenemos:


Hacemos el cambio de variable 


Separamos los cosenos y haciendo el cambio
, tenemos:

Usando el cambio de variable
y 


Separamos las integrales y haciendo el cambio de variable
para la primer integral, tenemos:



Usando
y separando las integrales, tenemos:

Haciendo los cambios de variables para cada integral, tenemos:


Apuntes es una plataforma dirigida al estudio y la práctica de las matemáticas a través de la teoría y ejercicios interactivos que ponemos a vuestra disposición. Esta información está disponible para todo aquel/aquella que quiera profundizar en el aprendizaje de esta ciencia. Será un placer ayudaros en caso de que tengáis dudas frente algún problema, sin embargo, no realizamos un ejercicio que nos presentéis de 0 sin que hayáis si quiera intentado resolverlo. Ánimo, todo esfuerzo tiene su recompensa.
Fe de erratas:
Ej. 3: sobra una raíz de x en el denominador antes del
Resultado final.
Ej.4: En el resultado final falta el signo menos.
Un saludo.
Hola revise los ejemplos de muchas ejercicios y no encontré los errores, podrías hacerme el favor de darme mas detalles para poder encontrarlos y quitar esos errores, seria de mucha ayuda.
Podrían brindarme información sobre el autor y la fecha de publicación del articulo? Estoy realizando una monografía en matemáticas y esta agina me ha servido mucho pero necesito esa información para referenciar correctamente la información.
¡Hola Yanela! 👋 Desde Superprof nos alegra que el artículo te haya sido útil. 😊 Para referenciarlo correctamente en tu monografía, puedes citarlo de la siguiente manera:
«Superprof. Ejercicios resueltos de integrales por sustitución. [En línea] Disponible en: [URL del artículo].»
Por motivos de privacidad, no podemos facilitar datos personales del autor ni fecha exacta de publicación. 📚✨
Veo un error en el ejercicio 9 a la hora de devolver la variable, recuerda que x^2+1 = u^2, no x^2+1 = u
Hola tienes razón, una disculpa y ya se corrigió.
Hay un error en el integral de seno de x multiplicado por coseno de x.
Haciendo sustitución queda u^2/2 lo que indica que es sen(x)^2/2.
Hola en tu razonamiento estas bien, pero hay una cuestión para resolver este ejercicio hay dos formas una como tu dices y otra usando identidades trigonométricas, puedes comprobar que sale el mismo resultado en la integral definida.
holaa, en el caso 4, en la última identidad están mal los signos, sería sen(a)sen(b)=1/2(cos(a-b)-cos(a+b))
Hola la manera en como presentas la fórmula esta bien, pero en la propiedad 4 que mencionas es lo mismo pero escrita de forma diferente, si multiplicas por el signo negativo queda igual a lo que tienes, si tienen alguna duda mencionalo.