Capítulos
Regla de integración para la función tangente
En este artículo nos enfocaremos en repasar la regla de integración para la función tangente.
Para identificar si podemos aplicar la regla de integración en una función, es conveniente hacer uso de las identidades trigonométricas cuando sea necesario, de tal manera que la integral se exprese de alguna de las siguientes formas:

Además, es conveniente recordar que el resultado de calcular la integral nos devuelve una familia de funciones cuya derivada es la función tangente, como se puede observar en la siguiente gráfica:

Ejercicios para calcular la integral de la función tangente
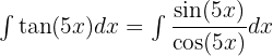
Calcula 
Recordemos que la integral del producto de una constante por una función es igual a la constante por la integral de la función, por lo cual podemos reesccribir la integral de la siguiente forma:

Calcula 
Utilizando que
se puede expresar como
reescribimos la integral:

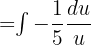
Hacemos un cambio de variable sustituyendo
con lo cual
:


Calculamos la integral:

Finalmente, deshacemos el cambio de variable:

Calcula 
Utilizando que la integral del producto de una constante por una función es igual a la constante por la integral de la función podemos reesccribir la integral de la siguiente forma:

Calcula 
En este caso la relación entre la cotangente y la tangente simplifica la integral, pues recordemos que
y 

Resumir con IA:









Apuntes es una plataforma dirigida al estudio y la práctica de las matemáticas a través de la teoría y ejercicios interactivos que ponemos a vuestra disposición. Esta información está disponible para todo aquel/aquella que quiera profundizar en el aprendizaje de esta ciencia. Será un placer ayudaros en caso de que tengáis dudas frente algún problema, sin embargo, no realizamos un ejercicio que nos presentéis de 0 sin que hayáis si quiera intentado resolverlo. Ánimo, todo esfuerzo tiene su recompensa.
Fe de erratas:
Ej. 3: sobra una raíz de x en el denominador antes del
Resultado final.
Ej.4: En el resultado final falta el signo menos.
Un saludo.
Hola revise los ejemplos de muchas ejercicios y no encontré los errores, podrías hacerme el favor de darme mas detalles para poder encontrarlos y quitar esos errores, seria de mucha ayuda.
Podrían brindarme información sobre el autor y la fecha de publicación del articulo? Estoy realizando una monografía en matemáticas y esta agina me ha servido mucho pero necesito esa información para referenciar correctamente la información.
¡Hola Yanela! 👋 Desde Superprof nos alegra que el artículo te haya sido útil. 😊 Para referenciarlo correctamente en tu monografía, puedes citarlo de la siguiente manera:
«Superprof. Ejercicios resueltos de integrales por sustitución. [En línea] Disponible en: [URL del artículo].»
Por motivos de privacidad, no podemos facilitar datos personales del autor ni fecha exacta de publicación. 📚✨
Veo un error en el ejercicio 9 a la hora de devolver la variable, recuerda que x^2+1 = u^2, no x^2+1 = u
Hola tienes razón, una disculpa y ya se corrigió.
Hay un error en el integral de seno de x multiplicado por coseno de x.
Haciendo sustitución queda u^2/2 lo que indica que es sen(x)^2/2.
Hola en tu razonamiento estas bien, pero hay una cuestión para resolver este ejercicio hay dos formas una como tu dices y otra usando identidades trigonométricas, puedes comprobar que sale el mismo resultado en la integral definida.
holaa, en el caso 4, en la última identidad están mal los signos, sería sen(a)sen(b)=1/2(cos(a-b)-cos(a+b))
Hola la manera en como presentas la fórmula esta bien, pero en la propiedad 4 que mencionas es lo mismo pero escrita de forma diferente, si multiplicas por el signo negativo queda igual a lo que tienes, si tienen alguna duda mencionalo.