Capítulos
Área bajo la curva de una función que toma valores positivos
Si la función toma valores positivos en un intervalo
entonces la gráfica de la función está por encima del eje de abscisas. El área de la función viene dada por:
Para hallar el área seguiremos los siguientes pasos:
1 Se calculan los puntos de corte con con el eje
, haciendo
y resolviendo la ecuación.
2 El área es igual a la integral definida de la función que tiene como límites de integración los puntos de corte.
Ejemplos de áreas limitadas por funciones positivas
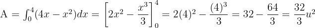
Calcular el área limitado por la curva
y el eje 
En primer lugar hallamos los puntos de corte con el eje
para representar la curva y conocer los límites de integración, es decir, igualamos la función a cero y las resolvemos. 

y


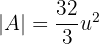
Calculamos la integral:

Hallar el área de la región del plano encerrada por la curva
entre el punto de corte con el eje
y el punto de abscisa
.
En primer lugar calculamos el punto de corte con el eje de abscisas, es decir, igualamos a cero la función.
Aplicando la exponencial de ambos lados
ya que
finalmente el punto de corte es


:
Entonces,

Área bajo la curva de una función que toma valores negativos
Si la función toma valores negativos en un intervalo
entonces la gráfica de la función está por debajo del eje de abscisas. El área de la función viene dada por un viene dada por:
Ejemplos de áreas limitadas por funciones negativas
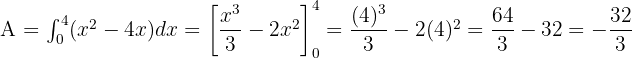
Calcular el área limitado por la curva
y el eje 
En primer lugar hallamos los puntos de corte con el eje
para representar la curva y conocer los límites de integración, es decir, igualamos la función a cero y las resolvemos.
y 

Calculamos la integral:

Hallar el área limitada por la curva
y el eje
entre
y
.

Resolvemos la integral:


Área de una función que toma valores positivos y negativos

En ese caso el área tiene zonas por encima y por debajo del eje de abscisas. Para calcular el área de la función seguiremos los siguientes pasos:
1 Se calculan los puntos de corte con con el eje
, haciendo
y resolviendo la ecuación.
2 Se ordenan de menor a mayor las raíces, que serán los límites de integración.
3 El área es igual a la suma de las integrales definidas en valor absoluto de cada intervalo.
Ejemplo
Calcular el área de las regiones del plano limitada por la curva
y el eje
.
En primer lugar hallamos los puntos de corte con el eje
para representar la curva y conocer los límites de integración, es decir, igualamos la función a cero y las resolvemos.


y 

Observando la gráfica tenemos que calcular dos integrales una para la función que toma valores positivos en el intervalo
y otra para la función que toma valores negativos en el intervalo
.
La gráfica es simétrica, por lo tanto el área se puede escribir como:

Área comprendida entre dos funciones
El área comprendida entre dos funciones es igual al área de la función que está situada por encima menos el área de la función que está situada por debajo.


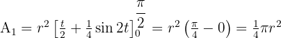
Calcular el área del círculo de radio r
Partimos de la ecuación de la circunferencia
.

El área del círculo es cuatro veces el área del primer cuadrante.
Calculamos la integral indefinida por cambio de variable:
Entonces,
Hallamos los nuevos límites de integración.
Finalmente,
Cómo la gráfica es simétrica:

Resumir con IA:









Apuntes es una plataforma dirigida al estudio y la práctica de las matemáticas a través de la teoría y ejercicios interactivos que ponemos a vuestra disposición. Esta información está disponible para todo aquel/aquella que quiera profundizar en el aprendizaje de esta ciencia. Será un placer ayudaros en caso de que tengáis dudas frente algún problema, sin embargo, no realizamos un ejercicio que nos presentéis de 0 sin que hayáis si quiera intentado resolverlo. Ánimo, todo esfuerzo tiene su recompensa.
Fe de erratas:
Ej. 3: sobra una raíz de x en el denominador antes del
Resultado final.
Ej.4: En el resultado final falta el signo menos.
Un saludo.
Hola revise los ejemplos de muchas ejercicios y no encontré los errores, podrías hacerme el favor de darme mas detalles para poder encontrarlos y quitar esos errores, seria de mucha ayuda.
Podrían brindarme información sobre el autor y la fecha de publicación del articulo? Estoy realizando una monografía en matemáticas y esta agina me ha servido mucho pero necesito esa información para referenciar correctamente la información.
¡Hola Yanela! 👋 Desde Superprof nos alegra que el artículo te haya sido útil. 😊 Para referenciarlo correctamente en tu monografía, puedes citarlo de la siguiente manera:
«Superprof. Ejercicios resueltos de integrales por sustitución. [En línea] Disponible en: [URL del artículo].»
Por motivos de privacidad, no podemos facilitar datos personales del autor ni fecha exacta de publicación. 📚✨
Veo un error en el ejercicio 9 a la hora de devolver la variable, recuerda que x^2+1 = u^2, no x^2+1 = u
Hola tienes razón, una disculpa y ya se corrigió.
Hay un error en el integral de seno de x multiplicado por coseno de x.
Haciendo sustitución queda u^2/2 lo que indica que es sen(x)^2/2.
Hola en tu razonamiento estas bien, pero hay una cuestión para resolver este ejercicio hay dos formas una como tu dices y otra usando identidades trigonométricas, puedes comprobar que sale el mismo resultado en la integral definida.
holaa, en el caso 4, en la última identidad están mal los signos, sería sen(a)sen(b)=1/2(cos(a-b)-cos(a+b))
Hola la manera en como presentas la fórmula esta bien, pero en la propiedad 4 que mencionas es lo mismo pero escrita de forma diferente, si multiplicas por el signo negativo queda igual a lo que tienes, si tienen alguna duda mencionalo.