Capítulos
Con exponente par e impar
Para resolver integrales trigonométricas con exponentes par e impar, el exponente impar se transforma en uno par y otro impar.

1Convertimos el exponente impar en uno par y otro impar

2Aplicamos identidades trigonométricas al elemento con exponente par

3Realizamos las multiplicaciones

4Separamos la integrales

5Resolvemos las integrales



6Hacemos
, el resultado de la integral es

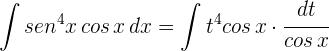
Cambio de variable
Para resolver integrales trigonométricas también se emplean los cambios de variable 

1Realizamos el cambio de variable

2Calculamos la diferencial

3Realizamos las sustituciones

4Simplificamos el integrando

5Resolvemos la integral

6Regresamos a las variables originales


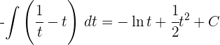
1Realizamos el cambio de variable

2Calculamos la diferencial

3Realizamos las sustituciones

4Simplificamos el integrando y aplicamos identidades trigonométricas 

5Resolvemos la integral

6Regresamos a las variables originales


1Realizamos el cambio de variable

2Calculamos la diferencial

3Realizamos las sustituciones y aplicamos la identidad trigonométrica 

4Simplificamos el integrando

5Resolvemos la integral

6Regresamos a las variables originales










Apuntes es una plataforma dirigida al estudio y la práctica de las matemáticas a través de la teoría y ejercicios interactivos que ponemos a vuestra disposición. Esta información está disponible para todo aquel/aquella que quiera profundizar en el aprendizaje de esta ciencia. Será un placer ayudaros en caso de que tengáis dudas frente algún problema, sin embargo, no realizamos un ejercicio que nos presentéis de 0 sin que hayáis si quiera intentado resolverlo. Ánimo, todo esfuerzo tiene su recompensa.
Fe de erratas:
Ej. 3: sobra una raíz de x en el denominador antes del
Resultado final.
Ej.4: En el resultado final falta el signo menos.
Un saludo.
Hola revise los ejemplos de muchas ejercicios y no encontré los errores, podrías hacerme el favor de darme mas detalles para poder encontrarlos y quitar esos errores, seria de mucha ayuda.
Podrían brindarme información sobre el autor y la fecha de publicación del articulo? Estoy realizando una monografía en matemáticas y esta agina me ha servido mucho pero necesito esa información para referenciar correctamente la información.
¡Hola Yanela! 👋 Desde Superprof nos alegra que el artículo te haya sido útil. 😊 Para referenciarlo correctamente en tu monografía, puedes citarlo de la siguiente manera:
«Superprof. Ejercicios resueltos de integrales por sustitución. [En línea] Disponible en: [URL del artículo].»
Por motivos de privacidad, no podemos facilitar datos personales del autor ni fecha exacta de publicación. 📚✨
Veo un error en el ejercicio 9 a la hora de devolver la variable, recuerda que x^2+1 = u^2, no x^2+1 = u
Hola tienes razón, una disculpa y ya se corrigió.
Hay un error en el integral de seno de x multiplicado por coseno de x.
Haciendo sustitución queda u^2/2 lo que indica que es sen(x)^2/2.
Hola en tu razonamiento estas bien, pero hay una cuestión para resolver este ejercicio hay dos formas una como tu dices y otra usando identidades trigonométricas, puedes comprobar que sale el mismo resultado en la integral definida.
holaa, en el caso 4, en la última identidad están mal los signos, sería sen(a)sen(b)=1/2(cos(a-b)-cos(a+b))
Hola la manera en como presentas la fórmula esta bien, pero en la propiedad 4 que mencionas es lo mismo pero escrita de forma diferente, si multiplicas por el signo negativo queda igual a lo que tienes, si tienen alguna duda mencionalo.