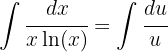
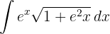
Te damos la bienvenida a nuestra sección dedicada a la resolución de problemas mediante el método de integración por sustitución. Este enfoque, también conocido como cambio de variable, es una herramienta clave en el mundo del cálculo integral que te permitirá abordar una amplia gama de funciones de manera eficiente.
Te guiaremos a través de problemas resueltos que ilustran cómo elegir sustituciones adecuadas para simplificar expresiones más complejas. Cada ejemplo incluirá una descripción paso a paso de la estrategia utilizada, desde la selección de la sustitución hasta la aplicación de la regla de la cadena y la evaluación final.
La técnica de integración por sustitución es esencial para enfrentar integrales desafiantes, y su dominio abrirá las puertas a la resolución eficiente de una variedad de problemas matemáticos. Acompáñanos en este viaje educativo donde exploraremos la elegancia y utilidad de la integración por sustitución, y donde desarrollarás las habilidades necesarias para abordar problemas de integración con confianza.
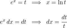
1
1 Realizamos el cambio de variable y calculamos su diferencial

2Sustituimos en la integral y simplificamos
3Resolvemos la integral obtenida
4Regresamos a la variable inicial, para ello empleamos 

Así, la solución en termino de la variable inicial es

2
1 Realizamos el cambio de variable y calculamos su diferencial

2Sustituimos en la integral y simplificamos
3Resolvemos la integral obtenida
4Regresamos a la variable inicial, para ello empleamos 

Así, la solución en termino de la variable inicial es

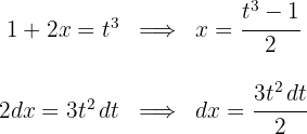
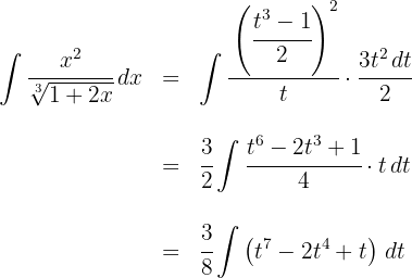
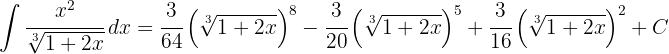
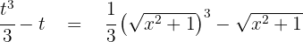
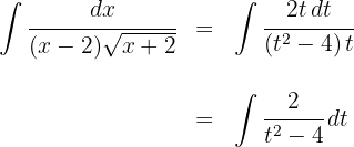
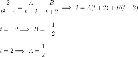
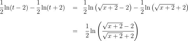
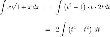
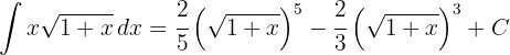
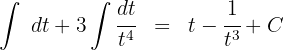
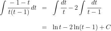
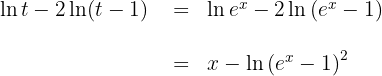
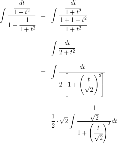
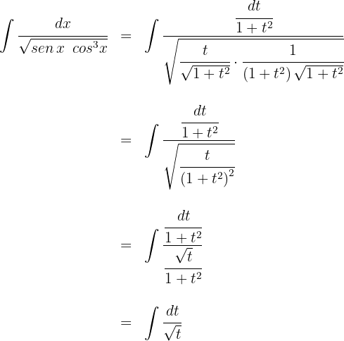
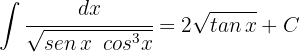
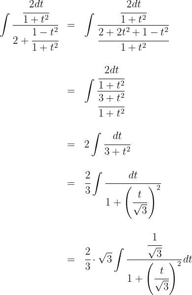
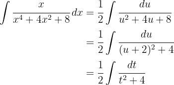
3
1 Realizamos el cambio de variable y calculamos su diferencial

2Sustituimos en la integral y simplificamos
3Resolvemos la integral obtenida empleando fracciones parciales
La integral es
4Regresamos a la variable inicial, para ello empleamos 

Así, la solución en termino de la variable inicial es

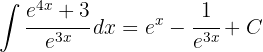
4
1 Realizamos el cambio de variable y calculamos su diferencial

2Sustituimos en la integral y simplificamos
3Resolvemos la integral obtenida
4Regresamos a la variable inicial, para ello empleamos 

Así, la solución en termino de la variable inicial es

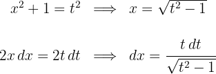
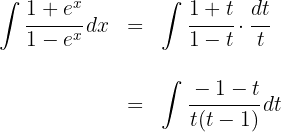
5
1 Realizamos el cambio de variable y calculamos su diferencial

2Sustituimos en la integral y simplificamos
3Resolvemos la integral obtenida
4Regresamos a la variable inicial, para ello empleamos 

Así, la solución en termino de la variable inicial es

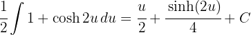
6
1 Realizamos el cambio de variable y calculamos su diferencial

2Sustituimos en la integral y simplificamos
3Resolvemos la integral obtenida
4Regresamos a la variable inicial, para ello empleamos 

Así, la solución en termino de la variable inicial es

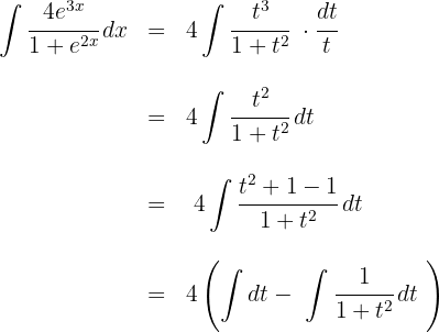
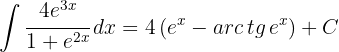
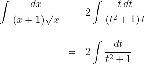
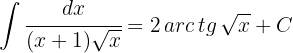
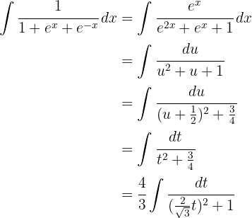
7
1 Realizamos el cambio de variable y calculamos su diferencial

2Sustituimos en la integral y simplificamos
3Resolvemos la integral obtenida empleando fracciones parciales
La integral es
4Regresamos a la variable inicial, para ello empleamos 

Así, la solución en termino de la variable inicial es

8
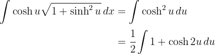
1 Realizamos el cambio de variable y calculamos su diferencial


2Sustituimos en la integral y para simplificar empleamos identidades trigonométricas
3Resolvemos las integrales obtenidas
4Regresamos a la variable inicial, para ello despejamos
en el cambio de variable inicial

Calculamos para el seno y coseno de 


Así, el resultado se expresa en la variable
como

9
1 Realizamos el cambio de variable y calculamos su diferencial

2Sustituimos en la integral y simplificamos
3Resolvemos la integral obtenida
4Regresamos a la variable inicial, para ello empleamos 

Así, la solución en termino de la variable inicial es

10
1 Realizamos el cambio de variable y calculamos su diferencial


2Sustituimos en la integral y para simplificar empleamos identidades trigonométricas
3Resolvemos las integrales obtenidas
4Regresamos a la variable inicial, para ello despejamos
en el cambio de variable inicial

Calculamos para el seno y coseno de 


Así, el resultado se expresa en la variable
como

11
1 Realizamos el cambio de variable y calculamos su diferencial


2Sustituimos en la integral y simplificamos
3Resolvemos las integrales obtenidas
4Regresamos a la variable inicial

12
1 Realizamos el cambio de variable y calculamos su diferencial


2Sustituimos en la integral y simplificamos
3Resolvemos las integrales obtenidas
4Regresamos a la variable inicial

13
1 Realizamos el cambio de variable y calculamos su diferencial


2Sustituimos en la integral y simplificamos
3Resolvemos las integrales obtenidas
4Regresamos a la variable inicial

14
1 Realizamos el cambio de variable y calculamos su diferencial


2Sustituimos en la integral y simplificamos
3Resolvemos las integrales obtenidas
4Regresamos a la variable inicial

15
1 Realizamos el cambio de variable y calculamos su diferencial


2Sustituimos en la integral y simplificamos
3Resolvemos las integrales obtenidas
4Regresamos a la variable inicial

16
1 Realizamos el cambio de variable y calculamos su diferencial
Realizamos el cambio de variable y calculamos su diferencial
2Sustituimos en la integral y simplificamos
3Resolvemos la integral obtenida
4Regresamos a la variable inicial

17
1 Realizamos el cambio de variable y calculamos su diferencial
Realizamos el cambio de variable y calculamos su diferencial
2Sustituimos en la integral y simplificamos, utilizando
3Resolvemos la integral obtenida
4Regresamos a la variable inicial

18
1 Realizamos el cambio de variable y calculamos su diferencial
Realizamos el cambio de variable y calculamos su diferencial
2Sustituimos en la integral y simplificamos, utilizando
3Resolvemos la integral obtenida
4Regresamos a la variable inicial usando 

19
1 Realizamos el cambio de variable y calculamos su diferencial
Realizamos el cambio de variable y calculamos su diferencial
2Sustituimos en la integral y simplificamos, utilizando
3Resolvemos la integral obtenida
4Regresamos a la variable inicial usando 

20
1 Realizamos el cambio de variable y calculamos su diferencial
Realizamos el cambio de variable y calculamos su diferencial
2Sustituimos en la integral y simplificamos, utilizando
3Regresamos a la variable inicial usando 


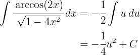
1 Realizamos el cambio de variable y calculamos su diferencial

2Sustituimos en la integral y simplificamos

3Resolvemos la integral obtenida

4Regresamos a la variable inicial, para ello empleamos 

Así, la solución en termino de la variable inicial es


1 Realizamos el cambio de variable y calculamos su diferencial

2Sustituimos en la integral y simplificamos

3Resolvemos la integral obtenida

4Regresamos a la variable inicial, para ello empleamos 

Así, la solución en termino de la variable inicial es


1 Realizamos el cambio de variable y calculamos su diferencial

2Sustituimos en la integral y simplificamos

3Resolvemos la integral obtenida empleando fracciones parciales

La integral es

4Regresamos a la variable inicial, para ello empleamos 

Así, la solución en termino de la variable inicial es


1 Realizamos el cambio de variable y calculamos su diferencial

2Sustituimos en la integral y simplificamos

3Resolvemos la integral obtenida

4Regresamos a la variable inicial, para ello empleamos 

Así, la solución en termino de la variable inicial es


1 Realizamos el cambio de variable y calculamos su diferencial

2Sustituimos en la integral y simplificamos

3Resolvemos la integral obtenida

4Regresamos a la variable inicial, para ello empleamos 

Así, la solución en termino de la variable inicial es


1 Realizamos el cambio de variable y calculamos su diferencial

2Sustituimos en la integral y simplificamos

3Resolvemos la integral obtenida

4Regresamos a la variable inicial, para ello empleamos 

Así, la solución en termino de la variable inicial es


1 Realizamos el cambio de variable y calculamos su diferencial

2Sustituimos en la integral y simplificamos

3Resolvemos la integral obtenida empleando fracciones parciales

La integral es

4Regresamos a la variable inicial, para ello empleamos 

Así, la solución en termino de la variable inicial es


1 Realizamos el cambio de variable y calculamos su diferencial


2Sustituimos en la integral y para simplificar empleamos identidades trigonométricas

3Resolvemos las integrales obtenidas

4Regresamos a la variable inicial, para ello despejamos
en el cambio de variable inicial

Calculamos para el seno y coseno de 


Así, el resultado se expresa en la variable
como


1 Realizamos el cambio de variable y calculamos su diferencial

2Sustituimos en la integral y simplificamos

3Resolvemos la integral obtenida

4Regresamos a la variable inicial, para ello empleamos 

Así, la solución en termino de la variable inicial es


1 Realizamos el cambio de variable y calculamos su diferencial


2Sustituimos en la integral y para simplificar empleamos identidades trigonométricas

3Resolvemos las integrales obtenidas

4Regresamos a la variable inicial, para ello despejamos
en el cambio de variable inicial

Calculamos para el seno y coseno de 


Así, el resultado se expresa en la variable
como


1 Realizamos el cambio de variable y calculamos su diferencial


2Sustituimos en la integral y simplificamos

3Resolvemos las integrales obtenidas

4Regresamos a la variable inicial


1 Realizamos el cambio de variable y calculamos su diferencial


2Sustituimos en la integral y simplificamos

3Resolvemos las integrales obtenidas

4Regresamos a la variable inicial


1 Realizamos el cambio de variable y calculamos su diferencial


2Sustituimos en la integral y simplificamos

3Resolvemos las integrales obtenidas

4Regresamos a la variable inicial


1 Realizamos el cambio de variable y calculamos su diferencial


2Sustituimos en la integral y simplificamos

3Resolvemos las integrales obtenidas

4Regresamos a la variable inicial


1 Realizamos el cambio de variable y calculamos su diferencial


2Sustituimos en la integral y simplificamos

3Resolvemos las integrales obtenidas

4Regresamos a la variable inicial


1 Realizamos el cambio de variable y calculamos su diferencial
Realizamos el cambio de variable y calculamos su diferencial

2Sustituimos en la integral y simplificamos

3Resolvemos la integral obtenida

4Regresamos a la variable inicial


1 Realizamos el cambio de variable y calculamos su diferencial
Realizamos el cambio de variable y calculamos su diferencial

2Sustituimos en la integral y simplificamos, utilizando

3Resolvemos la integral obtenida

4Regresamos a la variable inicial


1 Realizamos el cambio de variable y calculamos su diferencial
Realizamos el cambio de variable y calculamos su diferencial

2Sustituimos en la integral y simplificamos, utilizando

3Resolvemos la integral obtenida

4Regresamos a la variable inicial usando 


1 Realizamos el cambio de variable y calculamos su diferencial
Realizamos el cambio de variable y calculamos su diferencial

2Sustituimos en la integral y simplificamos, utilizando

3Resolvemos la integral obtenida

4Regresamos a la variable inicial usando 


1 Realizamos el cambio de variable y calculamos su diferencial
Realizamos el cambio de variable y calculamos su diferencial

2Sustituimos en la integral y simplificamos, utilizando

3Regresamos a la variable inicial usando 


Apuntes es una plataforma dirigida al estudio y la práctica de las matemáticas a través de la teoría y ejercicios interactivos que ponemos a vuestra disposición. Esta información está disponible para todo aquel/aquella que quiera profundizar en el aprendizaje de esta ciencia. Será un placer ayudaros en caso de que tengáis dudas frente algún problema, sin embargo, no realizamos un ejercicio que nos presentéis de 0 sin que hayáis si quiera intentado resolverlo. Ánimo, todo esfuerzo tiene su recompensa.
Fe de erratas:
Ej. 3: sobra una raíz de x en el denominador antes del
Resultado final.
Ej.4: En el resultado final falta el signo menos.
Un saludo.
Hola revise los ejemplos de muchas ejercicios y no encontré los errores, podrías hacerme el favor de darme mas detalles para poder encontrarlos y quitar esos errores, seria de mucha ayuda.
Podrían brindarme información sobre el autor y la fecha de publicación del articulo? Estoy realizando una monografía en matemáticas y esta agina me ha servido mucho pero necesito esa información para referenciar correctamente la información.
¡Hola Yanela! 👋 Desde Superprof nos alegra que el artículo te haya sido útil. 😊 Para referenciarlo correctamente en tu monografía, puedes citarlo de la siguiente manera:
«Superprof. Ejercicios resueltos de integrales por sustitución. [En línea] Disponible en: [URL del artículo].»
Por motivos de privacidad, no podemos facilitar datos personales del autor ni fecha exacta de publicación. 📚✨
Veo un error en el ejercicio 9 a la hora de devolver la variable, recuerda que x^2+1 = u^2, no x^2+1 = u
Hola tienes razón, una disculpa y ya se corrigió.
Hay un error en el integral de seno de x multiplicado por coseno de x.
Haciendo sustitución queda u^2/2 lo que indica que es sen(x)^2/2.
Hola en tu razonamiento estas bien, pero hay una cuestión para resolver este ejercicio hay dos formas una como tu dices y otra usando identidades trigonométricas, puedes comprobar que sale el mismo resultado en la integral definida.
holaa, en el caso 4, en la última identidad están mal los signos, sería sen(a)sen(b)=1/2(cos(a-b)-cos(a+b))
Hola la manera en como presentas la fórmula esta bien, pero en la propiedad 4 que mencionas es lo mismo pero escrita de forma diferente, si multiplicas por el signo negativo queda igual a lo que tienes, si tienen alguna duda mencionalo.