Bienvenidos a nuestro blog dedicado a la fascinante y poderosa técnica matemática conocida como "integración por partes". Las integrales son una parte fundamental del cálculo, y en muchas ocasiones, pueden resultar desafiantes de abordar. Sin embargo, ¡no temas! Estamos aquí para desentrañar el misterio detrás de las integrales por partes y facilitar su comprensión.
Desde en la física hasta en la ingeniería, pasando por diversas áreas del conocimiento, aparecen constantemente funciones que deben ser integradas usando la integración por partes. En este artículo, te presentamos una gran variedad de ejercicios resueltos que te ayudarán a comprender y a perfeccionar esta importante técnica en matemáticas.
¡Acompáñanos y convértete en un maestro de la integración por partes!

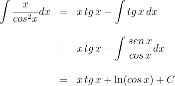
1Elegimos
y calculamos
y 

2Sustituimos los valores de
y
en la fórmula de integración por partes


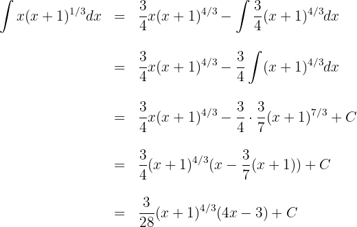
1Elegimos
y calculamos
y 

2Sustituimos los valores de
y
en la fórmula de integración por partes

3La última integral obtenida se resuelve mediante integración por partes , por ello elegimos
y calculamos
y 

4Sustituimos los valores de
y
en la fórmula de integración por partes y obtenemos

5Sustituimos el resultado obtenido del paso 4, en el resultado del paso 2 y resolvemos la ecuación resultante


1Elegimos
y calculamos
y 

2Sustituimos los valores de
y
en la fórmula de integración por partes


1Elegimos
y calculamos
y 

2Sustituimos los valores de
y
en la fórmula de integración por partes


1Elegimos
y calculamos
y 

2Sustituimos los valores de
y
en la fórmula de integración por partes considerando 


1Elegimos
y calculamos
y 

2Sustituimos los valores de
y
en la fórmula de integración por partes

3Realizamos la división del nuevo integrando y obtenemos
4Sustituimos en la integral y resolvemos


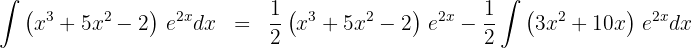
1Elegimos
y calculamos
y 

2Sustituimos los valores de
y
en la fórmula de integración por partes

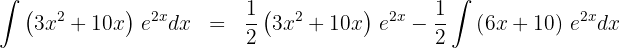
3La última integral obtenida se resuelve mediante integración por partes , por ello elegimos
y calculamos
y 

4Sustituimos los valores de
y
en la fórmula de integración por partes y obtenemos

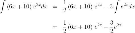
5Sustituimos el resultado obtenido del paso 4, en el resultado del paso 2


1Elegimos
y calculamos
y 

2Sustituimos los valores de
y
en la fórmula de integración por partes

3La última integral obtenida se resuelve mediante integración por partes , por ello elegimos
y calculamos
y 

4Sustituimos los valores de
y
en la fórmula de integración por partes y obtenemos

5La última integral obtenida se resuelve mediante integración por partes , por ello elegimos
y calculamos
y 

6Sustituimos los valores de
y
en la fórmula de integración por partes y obtenemos

7Sustituimos el resultado obtenido del paso 6, en el resultado del paso 4

8Sustituimos el resultado obtenido del paso 7, en el resultado del paso 2


1Elegimos
y calculamos
y 

2Sustituimos los valores de
y
en la fórmula de integración por partes


1Elegimos
y calculamos
y 

2Sustituimos los valores de
y
en la fórmula de integración por partes


1Elegimos
y calculamos
y 

2Sustituimos los valores de
y
en la fórmula de integración por partes

3La última integral obtenida se resuelve mediante integración por partes , por ello elegimos
y calculamos
y 

4Sustituimos los valores de
y
en la fórmula de integración por partes y obtenemos

5Sustituimos el resultado obtenido del paso 4, en el resultado del paso 2 y resolvemos la ecuación resultante


1Elegimos
y calculamos
y 

2Sustituimos los valores de
y
en la fórmula de integración por partes


1Elegimos
y calculamos
y 

2Sustituimos los valores de
y
en la fórmula de integración por partes


1Elegimos
y calculamos
y 

2Sustituimos los valores de
y
en la fórmula de integración por partes


1Elegimos
y calculamos
y 

2Sustituimos los valores de
y
en la fórmula de integración por partes


Apuntes es una plataforma dirigida al estudio y la práctica de las matemáticas a través de la teoría y ejercicios interactivos que ponemos a vuestra disposición. Esta información está disponible para todo aquel/aquella que quiera profundizar en el aprendizaje de esta ciencia. Será un placer ayudaros en caso de que tengáis dudas frente algún problema, sin embargo, no realizamos un ejercicio que nos presentéis de 0 sin que hayáis si quiera intentado resolverlo. Ánimo, todo esfuerzo tiene su recompensa.
Fe de erratas:
Ej. 3: sobra una raíz de x en el denominador antes del
Resultado final.
Ej.4: En el resultado final falta el signo menos.
Un saludo.
Hola revise los ejemplos de muchas ejercicios y no encontré los errores, podrías hacerme el favor de darme mas detalles para poder encontrarlos y quitar esos errores, seria de mucha ayuda.
Podrían brindarme información sobre el autor y la fecha de publicación del articulo? Estoy realizando una monografía en matemáticas y esta agina me ha servido mucho pero necesito esa información para referenciar correctamente la información.
¡Hola Yanela! 👋 Desde Superprof nos alegra que el artículo te haya sido útil. 😊 Para referenciarlo correctamente en tu monografía, puedes citarlo de la siguiente manera:
«Superprof. Ejercicios resueltos de integrales por sustitución. [En línea] Disponible en: [URL del artículo].»
Por motivos de privacidad, no podemos facilitar datos personales del autor ni fecha exacta de publicación. 📚✨
Veo un error en el ejercicio 9 a la hora de devolver la variable, recuerda que x^2+1 = u^2, no x^2+1 = u
Hola tienes razón, una disculpa y ya se corrigió.
Hay un error en el integral de seno de x multiplicado por coseno de x.
Haciendo sustitución queda u^2/2 lo que indica que es sen(x)^2/2.
Hola en tu razonamiento estas bien, pero hay una cuestión para resolver este ejercicio hay dos formas una como tu dices y otra usando identidades trigonométricas, puedes comprobar que sale el mismo resultado en la integral definida.
holaa, en el caso 4, en la última identidad están mal los signos, sería sen(a)sen(b)=1/2(cos(a-b)-cos(a+b))
Hola la manera en como presentas la fórmula esta bien, pero en la propiedad 4 que mencionas es lo mismo pero escrita de forma diferente, si multiplicas por el signo negativo queda igual a lo que tienes, si tienen alguna duda mencionalo.