Isaac Barrow (1630-1677) fue un matemático inglés, cuya aportación más importante a las Matemáticas fue la unión del cálculo diferencial e integral.
La regla de Barrow dice que la integral definida de una función continua en un intervalo cerrado
es igual a la diferencia entre los valores que toma una función primitiva
de
, en los extremos de dicho intervalo.

Ejemplos
Calcular las siguientes integrales definidas aplicando la regla de Barrow.
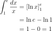
1
Encontramos la primitiva de cada una y calculamos la diferencia entre los valores -1 y 1

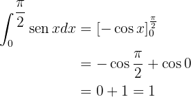
2
Como dice Barrow, la integral es igual a la diferencia entre los valores que toma la función primitiva de , en los extremos
y
.

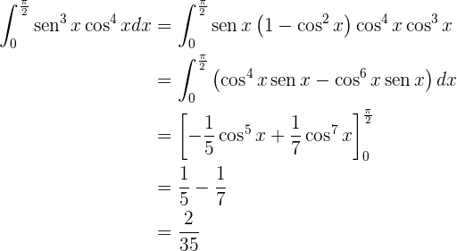
3
Repitiendo el proceso

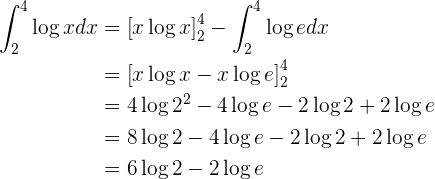
4
En este caso

5
Calculamos la integral utilizando integración por partes, tomando


Por lo tanto

6
Calculamos la integral definida por cambio de variable:

entonces la integral queda

Resolvemos integrando por partes


de aquí

Volviendo a la variable inicial:



Apuntes es una plataforma dirigida al estudio y la práctica de las matemáticas a través de la teoría y ejercicios interactivos que ponemos a vuestra disposición. Esta información está disponible para todo aquel/aquella que quiera profundizar en el aprendizaje de esta ciencia. Será un placer ayudaros en caso de que tengáis dudas frente algún problema, sin embargo, no realizamos un ejercicio que nos presentéis de 0 sin que hayáis si quiera intentado resolverlo. Ánimo, todo esfuerzo tiene su recompensa.
Podrían brindarme información sobre el autor y la fecha de publicación del articulo? Estoy realizando una monografía en matemáticas y esta agina me ha servido mucho pero necesito esa información para referenciar correctamente la información.
¡Hola Yanela! 👋 Desde Superprof nos alegra que el artículo te haya sido útil. 😊 Para referenciarlo correctamente en tu monografía, puedes citarlo de la siguiente manera:
«Superprof. Ejercicios resueltos de integrales por sustitución. [En línea] Disponible en: [URL del artículo].»
Por motivos de privacidad, no podemos facilitar datos personales del autor ni fecha exacta de publicación. 📚✨
Veo un error en el ejercicio 9 a la hora de devolver la variable, recuerda que x^2+1 = u^2, no x^2+1 = u
Hola tienes razón, una disculpa y ya se corrigió.
Hay un error en el integral de seno de x multiplicado por coseno de x.
Haciendo sustitución queda u^2/2 lo que indica que es sen(x)^2/2.
Hola en tu razonamiento estas bien, pero hay una cuestión para resolver este ejercicio hay dos formas una como tu dices y otra usando identidades trigonométricas, puedes comprobar que sale el mismo resultado en la integral definida.
holaa, en el caso 4, en la última identidad están mal los signos, sería sen(a)sen(b)=1/2(cos(a-b)-cos(a+b))
Hola la manera en como presentas la fórmula esta bien, pero en la propiedad 4 que mencionas es lo mismo pero escrita de forma diferente, si multiplicas por el signo negativo queda igual a lo que tienes, si tienen alguna duda mencionalo.