Capítulos
Cálculo de la integral de la secante cuadrada
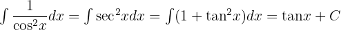
En este artículo nos enfocaremos en practicar la regla de integración para el cálculo de la integral de la secante cuadrada. Para esto, es importante considerar que la secante cuadrada puede ser reescrita de varias formas utilizando algunas identidades trigonométricas, como se muestra a continuación:


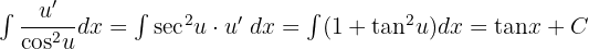
Este resultado también es válido cuando se pide calcular la integral de la secante cuadrada multiplicada por la derivada del argumento, es decir, cuando está de alguna de las siguientes formas:

En este caso
representa algún argumento en términos de
(por ejemplo
puede ser igual a
) y
la derivada del argumento.
Ejercicios para practicar integrales con la secante cuadrada
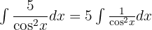
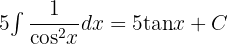
Calcula 
Recordemos que la integral del producto de una constante por una función es igual a la constante por la integral de la función, por lo cual podemos reesccribir la integral de la siguiente forma:
Después, podemos aplicar la primera regla presentada en el artículo para obtener el valor de la integral, entonces:

Calcula 
Al igual que en el caso anterior nos conviente iniciar recordando que la integral del producto de una constante por una función es igual a la constante por la integral de la función, por lo cual podemos factorizar el 3 para sacarlo de la integral, es decir:
Además, por la regla de integración presentada sabemos que
, por lo cual, sustituyendo en la expresión anterior, obtenemos que:

Calcula 
En este caso notemos es necesario considerar la fórmula
.
Para poder calcular directamente la integral necesitamos que la integral este expresada de la siguiente forma:

En ese caso tendríamos que
y
, sin embargo en nuestra expresión la secante está siendo multiplicada por
, es decir:

Para resolver podemos reescribir
como
:

Finalmente podemos aplicar la regla para calcular la integral:

Calcula 
En este ejercicio es necesario reescribir la expresión planteada y utilizar algunas identidades trigonométricas:
Luego, utilizando que
podemos reescribir la expresión de la siguiente forma
=
Ahora, recordemos que la integral de una suma de funciones es igual a la suma de las integrales de cada una de las funciones, por lo cual tenemos:

Calculando cada una de las integrales obtenemos:

Calcula 
Para resolver, reescribimos la integral sumando y restando uno. Después, utilizamos que la integral de una suma de funciones es igual a la suma de las integrales de cada una de las funciones, es decir:
Resumir con IA:









Apuntes es una plataforma dirigida al estudio y la práctica de las matemáticas a través de la teoría y ejercicios interactivos que ponemos a vuestra disposición. Esta información está disponible para todo aquel/aquella que quiera profundizar en el aprendizaje de esta ciencia. Será un placer ayudaros en caso de que tengáis dudas frente algún problema, sin embargo, no realizamos un ejercicio que nos presentéis de 0 sin que hayáis si quiera intentado resolverlo. Ánimo, todo esfuerzo tiene su recompensa.
Fe de erratas:
Ej. 3: sobra una raíz de x en el denominador antes del
Resultado final.
Ej.4: En el resultado final falta el signo menos.
Un saludo.
Hola revise los ejemplos de muchas ejercicios y no encontré los errores, podrías hacerme el favor de darme mas detalles para poder encontrarlos y quitar esos errores, seria de mucha ayuda.
Podrían brindarme información sobre el autor y la fecha de publicación del articulo? Estoy realizando una monografía en matemáticas y esta agina me ha servido mucho pero necesito esa información para referenciar correctamente la información.
¡Hola Yanela! 👋 Desde Superprof nos alegra que el artículo te haya sido útil. 😊 Para referenciarlo correctamente en tu monografía, puedes citarlo de la siguiente manera:
«Superprof. Ejercicios resueltos de integrales por sustitución. [En línea] Disponible en: [URL del artículo].»
Por motivos de privacidad, no podemos facilitar datos personales del autor ni fecha exacta de publicación. 📚✨
Veo un error en el ejercicio 9 a la hora de devolver la variable, recuerda que x^2+1 = u^2, no x^2+1 = u
Hola tienes razón, una disculpa y ya se corrigió.
Hay un error en el integral de seno de x multiplicado por coseno de x.
Haciendo sustitución queda u^2/2 lo que indica que es sen(x)^2/2.
Hola en tu razonamiento estas bien, pero hay una cuestión para resolver este ejercicio hay dos formas una como tu dices y otra usando identidades trigonométricas, puedes comprobar que sale el mismo resultado en la integral definida.
holaa, en el caso 4, en la última identidad están mal los signos, sería sen(a)sen(b)=1/2(cos(a-b)-cos(a+b))
Hola la manera en como presentas la fórmula esta bien, pero en la propiedad 4 que mencionas es lo mismo pero escrita de forma diferente, si multiplicas por el signo negativo queda igual a lo que tienes, si tienen alguna duda mencionalo.