Integrales de tipo exponencial
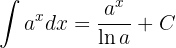
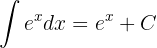
Las integrales de funciones exponenciales son de la siguiente forma:
1 
2 
Recuerda que una función potencia es de la forma
, es decir, una base constante y un exponente, como se muestra en la fórmula número 1 y la fórmula número dos es un caso particular donde nuestra base es el número
.
Ejercicios propuestos de integrales de tipo exponencial

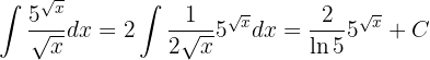
Como primer paso tenemos que hacer que nuestra expresión tenga un único exponente para poder aplicar la fórmula de la exponencial.


Comenzamos con un cambio de variable
y luego aplicamos la integral exponencial.


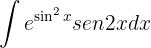
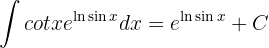
Comenzamos con un cambio de variable
, la identidad trigonométrica
y luego aplicamos la integral exponencial.


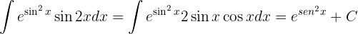
Comenzamos con un cambio de variable
, la identidad trigonométrica
y luego aplicamos la integral exponencial.


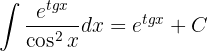
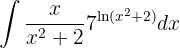
Comenzamos con un cambio de variable
y luego aplicamos la integral exponencial.


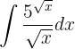
Comenzamos con un cambio de variable
y luego aplicamos la integral exponencial.


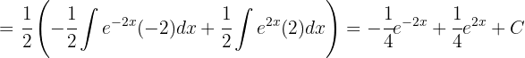
Comenzamos con un cambio de variable
y luego aplicamos la integral exponencial.


Comenzamos con un cambio de variable
y luego aplicamos la integral exponencial.


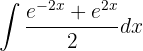
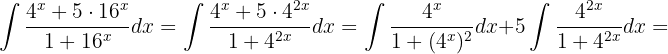
Separamos las integrales y sacamos de la integral los valores constantes.

Hacemos los respectivos cambios de variables
y
, luego aplicamos la fórmula de la integral exponencial.


Buscamos tener mismas bases, es decir
y posteriormente separamos las integrales











Apuntes es una plataforma dirigida al estudio y la práctica de las matemáticas a través de la teoría y ejercicios interactivos que ponemos a vuestra disposición. Esta información está disponible para todo aquel/aquella que quiera profundizar en el aprendizaje de esta ciencia. Será un placer ayudaros en caso de que tengáis dudas frente algún problema, sin embargo, no realizamos un ejercicio que nos presentéis de 0 sin que hayáis si quiera intentado resolverlo. Ánimo, todo esfuerzo tiene su recompensa.
Fe de erratas:
Ej. 3: sobra una raíz de x en el denominador antes del
Resultado final.
Ej.4: En el resultado final falta el signo menos.
Un saludo.
Hola revise los ejemplos de muchas ejercicios y no encontré los errores, podrías hacerme el favor de darme mas detalles para poder encontrarlos y quitar esos errores, seria de mucha ayuda.
Podrían brindarme información sobre el autor y la fecha de publicación del articulo? Estoy realizando una monografía en matemáticas y esta agina me ha servido mucho pero necesito esa información para referenciar correctamente la información.
¡Hola Yanela! 👋 Desde Superprof nos alegra que el artículo te haya sido útil. 😊 Para referenciarlo correctamente en tu monografía, puedes citarlo de la siguiente manera:
«Superprof. Ejercicios resueltos de integrales por sustitución. [En línea] Disponible en: [URL del artículo].»
Por motivos de privacidad, no podemos facilitar datos personales del autor ni fecha exacta de publicación. 📚✨
Veo un error en el ejercicio 9 a la hora de devolver la variable, recuerda que x^2+1 = u^2, no x^2+1 = u
Hola tienes razón, una disculpa y ya se corrigió.
Hay un error en el integral de seno de x multiplicado por coseno de x.
Haciendo sustitución queda u^2/2 lo que indica que es sen(x)^2/2.
Hola en tu razonamiento estas bien, pero hay una cuestión para resolver este ejercicio hay dos formas una como tu dices y otra usando identidades trigonométricas, puedes comprobar que sale el mismo resultado en la integral definida.
holaa, en el caso 4, en la última identidad están mal los signos, sería sen(a)sen(b)=1/2(cos(a-b)-cos(a+b))
Hola la manera en como presentas la fórmula esta bien, pero en la propiedad 4 que mencionas es lo mismo pero escrita de forma diferente, si multiplicas por el signo negativo queda igual a lo que tienes, si tienen alguna duda mencionalo.