Las funciones potencia, aquellas de la forma
, donde
es un número real, constituyen uno de los tipos más básicos y frecuentes en cálculo. Su integración es una de las primeras habilidades que se desarrolla al estudiar cálculo integral, ya que proporciona una base sólida para abordar funciones más complejas.
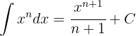
La regla general para integrar funciones potencia es directa y se expresa como:

siempre que
. Este procedimiento permite encontrar primitivas de funciones con exponentes positivos, negativos o fraccionarios, siempre que se cumpla la condición de que
. En el caso especial de
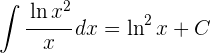
, se obtiene una función logarítmica:

En este artículo, encontrarás ejercicios resueltos paso a paso que te ayudarán a aplicar correctamente esta regla, a reconocer situaciones especiales, y a practicar con exponentes variados. Estos ejemplos fortalecerán tus habilidades para resolver integrales de forma precisa y confiable.
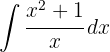
Resolver las siguientes integrales de tipo potencial:

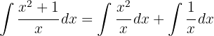
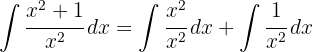
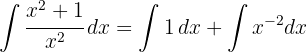
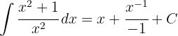
1 Separamos en fracciones

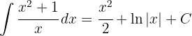
2 Simplificamos

3 Resolvemos cada integral


1 Separamos en fracciones

2 Simplificamos

3 Resolvemos cada integral

4 Simplificamos el resultado


1 Aplicamos la fórmula de integral de una función potencial haciendo 
2 Calculamos su derivada 
3 Calculamos la integral y obtenemos


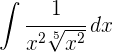
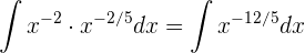
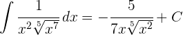
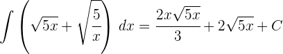
1 Escribimos el denominador como potencias

2 Escribimos sin denominadores

3 Realizamos la multiplicación

4 Resolvemos la integral

5 Simplificamos el resultado y obtenemos


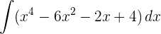
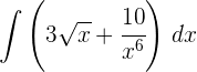
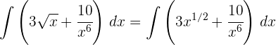
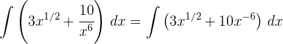
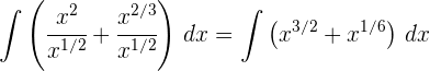
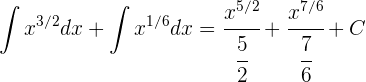
1 Escribimos la integral como suma de integrales

2 Resolvemos cada una de las integrales

3 Simplificamos el resultado y obtenemos


1 Escribimos el integrando como potencias

2 Escribimos sin denominadores

3 Aplicamos la propiedad de integral de una suma

4 Resolvemos la integral

5 Simplificamos el resultado y obtenemos


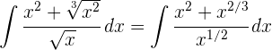
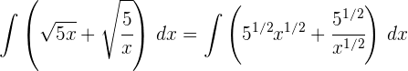
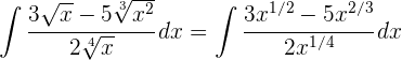
1 Escribimos el integrando como potencias

2 Escribimos el integrando como suma de fracciones

3 Simplificamos el integrando

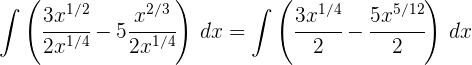
4 Aplicamos la propiedad de integral de una suma

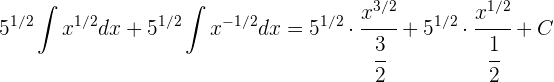
5 Resolvemos la integral

6 Simplificamos el resultado y obtenemos


1 Escribimos el integrando como potencias

2 Escribimos sin denominadores

3 Aplicamos la propiedad de integral de una suma

4 Resolvemos la integral

5 Simplificamos el resultado y obtenemos


1 Escribimos el integrando como potencias

2 Escribimos el integrando como suma de fracciones

3 Simplificamos el integrando

4 Aplicamos la propiedad de integral de una suma

5 Resolvemos la integral

6 Simplificamos el resultado y obtenemos


1 Aplicamos la fórmula de integral de una función potencial haciendo 
2 Calculamos su derivada 
3 Calculamos la integral y obtenemos


1 Aplicamos la fórmula de integral de una función potencial haciendo 
2 Calculamos su derivada 
3 Multiplicamos y dividimos por 2 el integrando, luego sacamos la constante 2

4 Calculamos la integral y obtenemos


1 Factorizamos el integrando

2 Empleamos la identidad 

3 Tomamos
y calculamos su derivada 
4 Calculamos la integral y obtenemos


1 Expresamos en notación exponencial

2 Tomamos
y calculamos su derivada 
3 Calculamos la integral

4 Simplificando obtenemos


1 Expresamos en notación exponencial

2 Tomamos
y calculamos su derivada 
3 Calculamos la integral

4 Simplificando obtenemos


1 Expresamos en notación exponencial

2 Tomamos
y calculamos su derivada 
3 Multiplicamos y dividimos el integrando por -3

4 Calculamos la integral

5 Simplificamos el resultado y obtenemos


1 Expresamos en notación exponencial

2 Tomamos
y calculamos su derivada 
3 Calculamos la integral

4 Simplificamos el resultado y obtenemos


1 Expresamos en notación exponencial

2 Tomamos
y calculamos su derivada 
3 Calculamos la integral

4 Simplificando obtenemos


1 Expresamos como siguel

2 Tomamos
y calculamos su derivada 
3 Calculamos la integral

4 La integral buscada es


1 Expresamos en notación exponencial y escribimos el integrando

2 Tomamos
y calculamos su derivada 
3 Calculamos la integral

4 Simplificamos el resultado y obtenemos


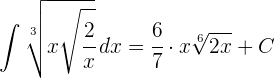
1 Escribimos como potencias

2 Aplicamos las leyes de los exponentes

3 Resolvemos la integral

4 Simplificamos el resultado y obtenemos


1 Escribimos como potencias

2 Aplicamos las leyes de los exponentes

3 Resolvemos la integral

4 Simplificamos el resultado y obtenemos


1 Expresamos en notación exponencial

2 Tomamos
y calculamos su derivada 
3 Calculamos la integral

4 Simplificamos el resultado y obtenemos


1 Elevamos a los exponentes dados

2 Simplificamos y acomodamos el integrando

3 Tomamos
y calculamos su derivada 
4 Calculamos la integral


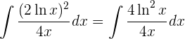
1 Aplicamos las propiedades de logaritmos

2 Acomodamos el integrando

3 Tomamos
y calculamos su derivada 
4 Calculamos la integral

5 Simplificamos y obtenemos


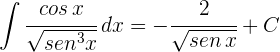
1 Escribimos el integrando como

2 Aplicamos la identidad 

3 Tomamos
y calculamos su derivada 
4 Calculamos la integral

5 Simplificamos y obtenemos










Apuntes es una plataforma dirigida al estudio y la práctica de las matemáticas a través de la teoría y ejercicios interactivos que ponemos a vuestra disposición. Esta información está disponible para todo aquel/aquella que quiera profundizar en el aprendizaje de esta ciencia. Será un placer ayudaros en caso de que tengáis dudas frente algún problema, sin embargo, no realizamos un ejercicio que nos presentéis de 0 sin que hayáis si quiera intentado resolverlo. Ánimo, todo esfuerzo tiene su recompensa.
Fe de erratas:
Ej. 3: sobra una raíz de x en el denominador antes del
Resultado final.
Ej.4: En el resultado final falta el signo menos.
Un saludo.
Hola revise los ejemplos de muchas ejercicios y no encontré los errores, podrías hacerme el favor de darme mas detalles para poder encontrarlos y quitar esos errores, seria de mucha ayuda.
Podrían brindarme información sobre el autor y la fecha de publicación del articulo? Estoy realizando una monografía en matemáticas y esta agina me ha servido mucho pero necesito esa información para referenciar correctamente la información.
¡Hola Yanela! 👋 Desde Superprof nos alegra que el artículo te haya sido útil. 😊 Para referenciarlo correctamente en tu monografía, puedes citarlo de la siguiente manera:
«Superprof. Ejercicios resueltos de integrales por sustitución. [En línea] Disponible en: [URL del artículo].»
Por motivos de privacidad, no podemos facilitar datos personales del autor ni fecha exacta de publicación. 📚✨
Veo un error en el ejercicio 9 a la hora de devolver la variable, recuerda que x^2+1 = u^2, no x^2+1 = u
Hola tienes razón, una disculpa y ya se corrigió.
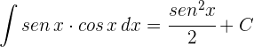
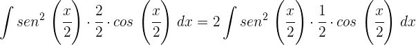
Hay un error en el integral de seno de x multiplicado por coseno de x.
Haciendo sustitución queda u^2/2 lo que indica que es sen(x)^2/2.
Hola en tu razonamiento estas bien, pero hay una cuestión para resolver este ejercicio hay dos formas una como tu dices y otra usando identidades trigonométricas, puedes comprobar que sale el mismo resultado en la integral definida.
holaa, en el caso 4, en la última identidad están mal los signos, sería sen(a)sen(b)=1/2(cos(a-b)-cos(a+b))
Hola la manera en como presentas la fórmula esta bien, pero en la propiedad 4 que mencionas es lo mismo pero escrita de forma diferente, si multiplicas por el signo negativo queda igual a lo que tienes, si tienen alguna duda mencionalo.