
Esta integral se resuelve por el método de integración por partes, es decir,
.
Entonces elegimos
y
, el primero lo derivamos y al segundo lo integramos, obteniendo:
.
Usando la fórmula de integración por partes, tenemos: 


Esta integral se resuelve por el método de integración por partes, es decir,
.
Entonces elegimos
y
, el primero lo derivamos y al segundo lo integramos, obteniendo:
.
Usando la fórmula de integración por partes, tenemos: 
Observemos que tenemos que volver a aplicar el método de integración por partes, tomamos como
y 
Regresando al ejercicio y sustituyendo los valores,


Esta integral se resuelve por el método de integración por partes, es decir,
.
Entonces elegimos
y
, el primero lo derivamos y al segundo lo integramos, obteniendo:
.
Usando la fórmula de integración por partes, tenemos: 
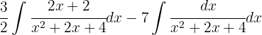
Para la integral usamos un cambio de variable
, transformando
Finalmente, sustituyendo el valor de esta integral terminaremos el ejercicio,

Esta integral se resuelve por el método de integración por partes, es decir,
.
Entonces elegimos
y
, el primero lo derivamos y al segundo lo integramos, obteniendo:
.
Usando la fórmula de integración por partes, tenemos: 
Observemos que ésta es una integral cíclica, es decir, que hemos regresado a la integral inicial, por tanto,
Finalmente, despejando la integral.

Esta es una integral por partes, entonces comenzamos por separar la fracción de la siguiente forma: 
Resolviendo la suma de fracciones del lado derecho, tenemos: 
Eliminamos mismos denominadores y agrupamos,
Construimos el siguiente sistema dee ecuaciones.

De la primera y última ecuación tenemos que
y 
Sustituyéndolo en la segunda,
Entonces
y 
Por tanto la integral inicial se puede separar como:

La primera integral es de tipo logarítmico y la segunda la tenemos que descomponer en dos, que serán de tipo logarítmico y tipo arcotangente.
Comenzamos por multiplicar por 2 la segunda integral y posteriormente separar de tal forma que obtengamos los dos tipos de integrales antes mencionados.


Finalmente, podemos aplicar las integrales de tipo logaritmo y para la última de tipo arcotangente.

Vamos a transformar el denominador de modo que podamos aplicar la fórmula de la integral del arcotangente.
Transformamos el denominador en un binomio al cuadrado.


Multiplicamos numerador y denominador por 4/3, para obtener uno en el denominador.
Dentro del binomio al cuadrado multiplicaremos por la raíz cuadrada de 4/3.



Finalmente, uniendo todas las partes la integral inicial es igual a:



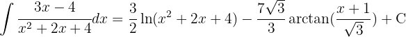
Para esta integral buscamos separarla en una integral logarítmica y otra de la forma arcotangente.
Sumamos y restamos 3 en el numerador, descomponemos en dos fracciones y en la primera sacamos factor común 3.

Multiplicamos y dividimos en la primera integral por 2.


Vamos a transformar el denominador de modo que podamos aplicar la fórmula de la integral del arcotangente.
Transformamos el denominador en un binomio al cuadrado.

Entonces sustituyéndolo en la integral y luego haciendo un cambio de variable 



Finalmente, la solución a la integral es,


En esta integral haremos un cambio de variable

Regresando a la variable original obtenemos el resultado.

Comenzamos por hacer un cambio de variable trigonométrico

Del cambio de variable despejamos t para regresar a nuestra variable original, es decir, 


Comenzamos por un cambio de variable
, despejamos el valor de x,

Aplicaremos la integración por partes, es decir,
. 
Entonces elegimos
y
, el primero lo derivamos y al segundo lo integramos, obteniendo:
.Usando la fórmula de integración por partes, tenemos:
La última integral la resolvemos como una integral por partes, es decir,


Tenemos el siguiente sistema,
De la primer ecuación tenemos
, sustituyéndolo en la segunda:
, entonces 
Regresando a la integral tenemos:

Regresando a la variable original, 
Sustituyendo tenemos,

Aplicando las propiedades de los logaritmos.


Comenzamos por hacer un cambio de variable 
Sustituyendo el cambio de variable tenemos,
Simplificamos y regresamos a la variable original. 

Hacemos el cambio de variable
,
Simplificamos y regresamos a la variable original. 


Comenzamos por un cambio de variable trigonométrico,
,
Finalmente simplificamos y regresamos a la variable original, 

Apuntes es una plataforma dirigida al estudio y la práctica de las matemáticas a través de la teoría y ejercicios interactivos que ponemos a vuestra disposición. Esta información está disponible para todo aquel/aquella que quiera profundizar en el aprendizaje de esta ciencia. Será un placer ayudaros en caso de que tengáis dudas frente algún problema, sin embargo, no realizamos un ejercicio que nos presentéis de 0 sin que hayáis si quiera intentado resolverlo. Ánimo, todo esfuerzo tiene su recompensa.
Fe de erratas:
Ej. 3: sobra una raíz de x en el denominador antes del
Resultado final.
Ej.4: En el resultado final falta el signo menos.
Un saludo.
Hola revise los ejemplos de muchas ejercicios y no encontré los errores, podrías hacerme el favor de darme mas detalles para poder encontrarlos y quitar esos errores, seria de mucha ayuda.
Podrían brindarme información sobre el autor y la fecha de publicación del articulo? Estoy realizando una monografía en matemáticas y esta agina me ha servido mucho pero necesito esa información para referenciar correctamente la información.
¡Hola Yanela! 👋 Desde Superprof nos alegra que el artículo te haya sido útil. 😊 Para referenciarlo correctamente en tu monografía, puedes citarlo de la siguiente manera:
«Superprof. Ejercicios resueltos de integrales por sustitución. [En línea] Disponible en: [URL del artículo].»
Por motivos de privacidad, no podemos facilitar datos personales del autor ni fecha exacta de publicación. 📚✨
Veo un error en el ejercicio 9 a la hora de devolver la variable, recuerda que x^2+1 = u^2, no x^2+1 = u
Hola tienes razón, una disculpa y ya se corrigió.
Hay un error en el integral de seno de x multiplicado por coseno de x.
Haciendo sustitución queda u^2/2 lo que indica que es sen(x)^2/2.
Hola en tu razonamiento estas bien, pero hay una cuestión para resolver este ejercicio hay dos formas una como tu dices y otra usando identidades trigonométricas, puedes comprobar que sale el mismo resultado en la integral definida.
holaa, en el caso 4, en la última identidad están mal los signos, sería sen(a)sen(b)=1/2(cos(a-b)-cos(a+b))
Hola la manera en como presentas la fórmula esta bien, pero en la propiedad 4 que mencionas es lo mismo pero escrita de forma diferente, si multiplicas por el signo negativo queda igual a lo que tienes, si tienen alguna duda mencionalo.