Recordemos que la función arco tangente,
, no es más que la función inversa de la función tangente. Utilizando las siguiente formulas podemos hallar el valor de la integral de diversas funciones
Si
es una función derivable entonces
A continuación una lista de problemas resueltos de integrales de este tipo.
Hallar el valor de la integral 
y utilizar las formulas previas,
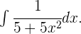
Hallar el valor de la integral 
En este caso notemos que si
y además multiplicamos y dividimos por
tendremos que
Al aplicar las formulas previas concluimos que

Hallar el valor de la integral 
En este caso notemos que si
entonces
, así

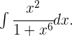
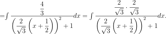
Hallar el valor de la integral 
En este caso notemos que si
entonces
. Por lo tanto debemos multiplicar y dividir por
,
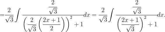
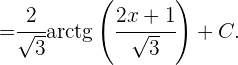
Al aplicar fórmulas previas tenemos que 
Hallar el valor de la integral 
En este caso notemos que si
entonces
, así

Hallar el valor de la integral 
En este caso notemos que si
entonces
, así

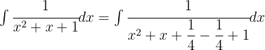
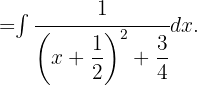
Hallar el valor de la integral 
Vamos a transformar el denominador de modo que podamos aplicar la fórmula de la integral del arcotangente.Transformamos el denominador en un binomio al cuadrado.

Multiplicamos numerador y denominador por
, para obtener uno en el denominador.
Dentro del binomio al cuadrado multiplicaremos por su raíz cuadrada de
.


Si
entonces
, así

Resumir con IA:

Apuntes es una plataforma dirigida al estudio y la práctica de las matemáticas a través de la teoría y ejercicios interactivos que ponemos a vuestra disposición. Esta información está disponible para todo aquel/aquella que quiera profundizar en el aprendizaje de esta ciencia. Será un placer ayudaros en caso de que tengáis dudas frente algún problema, sin embargo, no realizamos un ejercicio que nos presentéis de 0 sin que hayáis si quiera intentado resolverlo. Ánimo, todo esfuerzo tiene su recompensa.
Fe de erratas:
Ej. 3: sobra una raíz de x en el denominador antes del
Resultado final.
Ej.4: En el resultado final falta el signo menos.
Un saludo.
Hola revise los ejemplos de muchas ejercicios y no encontré los errores, podrías hacerme el favor de darme mas detalles para poder encontrarlos y quitar esos errores, seria de mucha ayuda.
Podrían brindarme información sobre el autor y la fecha de publicación del articulo? Estoy realizando una monografía en matemáticas y esta agina me ha servido mucho pero necesito esa información para referenciar correctamente la información.
¡Hola Yanela! 👋 Desde Superprof nos alegra que el artículo te haya sido útil. 😊 Para referenciarlo correctamente en tu monografía, puedes citarlo de la siguiente manera:
«Superprof. Ejercicios resueltos de integrales por sustitución. [En línea] Disponible en: [URL del artículo].»
Por motivos de privacidad, no podemos facilitar datos personales del autor ni fecha exacta de publicación. 📚✨
Veo un error en el ejercicio 9 a la hora de devolver la variable, recuerda que x^2+1 = u^2, no x^2+1 = u
Hola tienes razón, una disculpa y ya se corrigió.
Hay un error en el integral de seno de x multiplicado por coseno de x.
Haciendo sustitución queda u^2/2 lo que indica que es sen(x)^2/2.
Hola en tu razonamiento estas bien, pero hay una cuestión para resolver este ejercicio hay dos formas una como tu dices y otra usando identidades trigonométricas, puedes comprobar que sale el mismo resultado en la integral definida.
holaa, en el caso 4, en la última identidad están mal los signos, sería sen(a)sen(b)=1/2(cos(a-b)-cos(a+b))
Hola la manera en como presentas la fórmula esta bien, pero en la propiedad 4 que mencionas es lo mismo pero escrita de forma diferente, si multiplicas por el signo negativo queda igual a lo que tienes, si tienen alguna duda mencionalo.