El volumen de un cuerpo de revolución engendrado al girar la curva
alrededor del eje
y limitado por
y
, viene dado por:
Ejercicios propuestos:
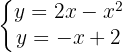
Hallar el volumen engendrado por las superficies limitadas por las curvas y las rectas
y
dadas, al girar en torno al eje
:
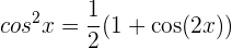
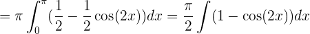
Aplicando la fórmula para calcular el volumen, además de utilizar la identidad trigonométrica  
  y que en este intervalo el coseno tiene área negativa  
  Usando la identidad trigonométrica
 
  haciendo el cambio de variable
  para la segunda integral y aplicando las integrales inmediatas
  

Calcular el volumen del cilindro engendrado por el rectángulo limitado por las rectas
y
, y el eje
al girar alrededor de este eje.
Aplicando la fórmula para calcular el volumen, tenemos:   

Hallar el volumen del tronco de cono engendrado por el trapecio que limita el eje de abscisas, la recta
y las coordenadas correspondientes a
y
, al girar alrededor de
.
 
 
 
  
el recinto limitado por las gráficas de
.Comenzamos por encontrar los puntos de intersección entre la parábola y la recta:

Igualamos las funciones y encontramos el valor de x

Sustituyendo los valores de x para encontrar los de y en cualquiera de las dos ecuaciones, y obtener los puntos de intersección,


La parábola está por encima de la recta en el intervalo de integración, entonces al sustituir los valores en la fórmula del volumen, tenemos:

y la recta
, alrededor del eje
.Como gira alrededor del eje
, aplicamos: 
El volumen será la diferencia del engendrado por la recta y el engendrado por la parábola entre los extremos
e
.

Como la parábola es simétrica con respecto al eje
, el volumen es igual a dos veces el volumen engendrado entre
e
.

Calcular el volumen de la esfera de radio r.
Partimos de la ecuación de la circunferencia
.
Girando un semicírculo en torno al eje de abscisas se obtiene una esfera.

Entonces sustituimos los valores en la fórmula del volumen. 

Hallar el volumen del elipsoide engendrado por la elipse
, al girar:
a Alrededor de su eje mayor.
b Alrededor de su eje menor.
a Alrededor de su eje mayor.

Como la elipse es simétrica respecto de los dos ejes, el volumen es el doble del engendrado por la porción de elipse del primer cuadrante en ambos casos.

Despejamos el valor de
y encontrar los limites de integración.

Y ahora sustituimos en la fórmula del volumen 
b Alrededor de su eje menor.
Despejamos el valor de
y encontrar los limites de integración.

Y ahora sustituimos en la fórmula del volumen 

Apuntes es una plataforma dirigida al estudio y la práctica de las matemáticas a través de la teoría y ejercicios interactivos que ponemos a vuestra disposición. Esta información está disponible para todo aquel/aquella que quiera profundizar en el aprendizaje de esta ciencia. Será un placer ayudaros en caso de que tengáis dudas frente algún problema, sin embargo, no realizamos un ejercicio que nos presentéis de 0 sin que hayáis si quiera intentado resolverlo. Ánimo, todo esfuerzo tiene su recompensa.
Fe de erratas:
Ej. 3: sobra una raíz de x en el denominador antes del
Resultado final.
Ej.4: En el resultado final falta el signo menos.
Un saludo.
Hola revise los ejemplos de muchas ejercicios y no encontré los errores, podrías hacerme el favor de darme mas detalles para poder encontrarlos y quitar esos errores, seria de mucha ayuda.
Podrían brindarme información sobre el autor y la fecha de publicación del articulo? Estoy realizando una monografía en matemáticas y esta agina me ha servido mucho pero necesito esa información para referenciar correctamente la información.
¡Hola Yanela! 👋 Desde Superprof nos alegra que el artículo te haya sido útil. 😊 Para referenciarlo correctamente en tu monografía, puedes citarlo de la siguiente manera:
«Superprof. Ejercicios resueltos de integrales por sustitución. [En línea] Disponible en: [URL del artículo].»
Por motivos de privacidad, no podemos facilitar datos personales del autor ni fecha exacta de publicación. 📚✨
Veo un error en el ejercicio 9 a la hora de devolver la variable, recuerda que x^2+1 = u^2, no x^2+1 = u
Hola tienes razón, una disculpa y ya se corrigió.
Hay un error en el integral de seno de x multiplicado por coseno de x.
Haciendo sustitución queda u^2/2 lo que indica que es sen(x)^2/2.
Hola en tu razonamiento estas bien, pero hay una cuestión para resolver este ejercicio hay dos formas una como tu dices y otra usando identidades trigonométricas, puedes comprobar que sale el mismo resultado en la integral definida.
holaa, en el caso 4, en la última identidad están mal los signos, sería sen(a)sen(b)=1/2(cos(a-b)-cos(a+b))
Hola la manera en como presentas la fórmula esta bien, pero en la propiedad 4 que mencionas es lo mismo pero escrita de forma diferente, si multiplicas por el signo negativo queda igual a lo que tienes, si tienen alguna duda mencionalo.