Área comprendida entre dos funciones
El área comprendida entre dos funciones es igual al área de la función que está situada por encima menos el área de la función que está situada por debajo.
El área encerrada por dos funciones
y
viene determinada por la siguiente fórmula:
Donde los límites de integración
y
corresponden a los puntos de corte entre ambas funciones. Además
debe ser mayor o igual que
. Que una función sea mayor que otra significa que para el mismo rango de valores de
, el valor de la función es mayor y por tanto su gráfica queda representada por encima en los ejes de coordenadas.
Ejemplos resueltos del área entre dos funciones
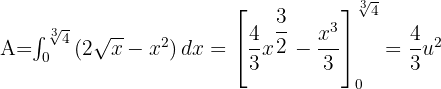
1 Calcular el área del recinto limitado por la parábola
y la recta que pasa por los puntos
y
.
En primer lugar hallamos la ecuación de la recta que pasa por los puntos indicados: Utilizaremos la forma punto-pendiente para encontrar la ecuación de la recta, para esto encontraremos la pendiente con los puntos dados
Utilizando la forma punto-pendiente

Esto lo haremos al resolver la ecuación
es decir, igualando las funciones
Integrando
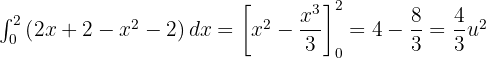
2 Hallar el área de la figura limitada por: 
En primer lugar hallamos los puntos de corte de las dos funciones para conocer los límites de integración:
entonces

De
a
, la recta queda por encima de la parábola

De
a
, la recta queda por debajo de la parábola

entonces
3 Hallar el área de la región del plano limitada por las curvas
y los ejes coordenados.
Calculamos el punto de corte de la curva y la recta 

El área es igual al área del rectángulo
menos el área bajo la curva
. Tenemos que el área de rectángulo es base por altura, entonces
El área bajo la curva
es:
entonces
4 Hallar el área del recinto plano y limitado por la parábola
y las tangentes a la curva en los puntos de intersección con el eje OX.
Puntos de intersección con el eje
:
de donde obtenemos que los puntos son
y
.
Ecuación de la tangente a la parábola en el punto
de la forma punto-pendiente de la recta obtenemos que la ecuación es
Ecuación de la tangente a la parábola en el punto
de la forma punto-pendiente de la recta obtenemos que la ecuación es

5 Calcular el área limitada por las gráficas de las funciones
,
.
Calculamos los puntos de intersección
por tanto los puntos de intersección son
y
.


Resumir con IA:









Apuntes es una plataforma dirigida al estudio y la práctica de las matemáticas a través de la teoría y ejercicios interactivos que ponemos a vuestra disposición. Esta información está disponible para todo aquel/aquella que quiera profundizar en el aprendizaje de esta ciencia. Será un placer ayudaros en caso de que tengáis dudas frente algún problema, sin embargo, no realizamos un ejercicio que nos presentéis de 0 sin que hayáis si quiera intentado resolverlo. Ánimo, todo esfuerzo tiene su recompensa.
me puedes indicar por favor como desarrollar la integral e^x^2 sin (x) dx
Fe de erratas:
Ej. 3: sobra una raíz de x en el denominador antes del
Resultado final.
Ej.4: En el resultado final falta el signo menos.
Un saludo.
Hola revise los ejemplos de muchas ejercicios y no encontré los errores, podrías hacerme el favor de darme mas detalles para poder encontrarlos y quitar esos errores, seria de mucha ayuda.
Podrían brindarme información sobre el autor y la fecha de publicación del articulo? Estoy realizando una monografía en matemáticas y esta agina me ha servido mucho pero necesito esa información para referenciar correctamente la información.
¡Hola Yanela! 👋 Desde Superprof nos alegra que el artículo te haya sido útil. 😊 Para referenciarlo correctamente en tu monografía, puedes citarlo de la siguiente manera:
«Superprof. Ejercicios resueltos de integrales por sustitución. [En línea] Disponible en: [URL del artículo].»
Por motivos de privacidad, no podemos facilitar datos personales del autor ni fecha exacta de publicación. 📚✨
Veo un error en el ejercicio 9 a la hora de devolver la variable, recuerda que x^2+1 = u^2, no x^2+1 = u
Hola tienes razón, una disculpa y ya se corrigió.
Hola la manera en como presentas la fórmula esta bien, pero en la propiedad 4 que mencionas es lo mismo pero escrita de forma diferente, si multiplicas por el signo negativo queda igual a lo que tienes, si tienen alguna duda mencionalo.
holaa, en el caso 4, en la última identidad están mal los signos, sería sen(a)sen(b)=1/2(cos(a-b)-cos(a+b))