Resuelve las siguientes integrales inmediatas:


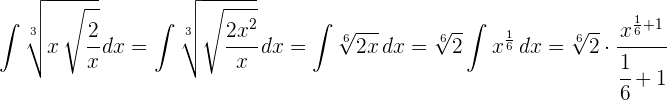
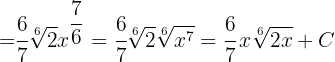
1 Reescribimos el radical como potencia y hacemos
y 




1 Aplicamos un cambio de variable e integramos




1 Aplicamos
y
e integramos



1 Reacomodamos la función y hacemos
y 




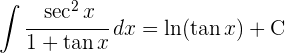
1 Hacemos
y aplicamos identidades trigonométricas




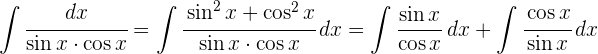
1 Separamos la función en dos fracciones y aplicamos identidades trigonométricas




1 Utilizamos
en el numerador, separamos en 2 fracciones y aplicamos identidades trigonométricas




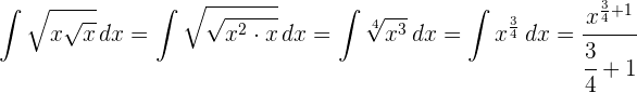
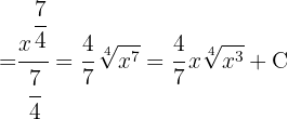
1 Aplicamos propiedades de los radicales para dejar una sola
, convertimos a potencia e integramos




1 Introducimos la
en la raíz más interna, simplificamos la expresión y pasamos la raíz a potencia para poder integrar.




1 Reescribimos
como
y hacemos
y
.



1 Tomamos el signo menos como factor común y hacemos
y
.




1 Reacomodamos la expresión y hacemos
y 



1 Hacemos
y 



1 Realizamos la potencia, simplificamos y realizamos
y 



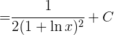
1 Aplicamos la propiedad de logaritmos de potencia y hacemos
y
.



1 Reacomodamos la función y hacemos
y 



1 Reacomodamos las potencias, separamos en dos fracciones para integrar cada una por separado e integramos




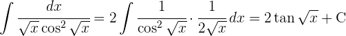
1 Usamos una identidad trigonométrica de cociente y hacemos
y 



1 Reacomodamos la integral para hacer
y 




1 Hacemos
y 


Apuntes es una plataforma dirigida al estudio y la práctica de las matemáticas a través de la teoría y ejercicios interactivos que ponemos a vuestra disposición. Esta información está disponible para todo aquel/aquella que quiera profundizar en el aprendizaje de esta ciencia. Será un placer ayudaros en caso de que tengáis dudas frente algún problema, sin embargo, no realizamos un ejercicio que nos presentéis de 0 sin que hayáis si quiera intentado resolverlo. Ánimo, todo esfuerzo tiene su recompensa.
Fe de erratas:
Ej. 3: sobra una raíz de x en el denominador antes del
Resultado final.
Ej.4: En el resultado final falta el signo menos.
Un saludo.
Hola revise los ejemplos de muchas ejercicios y no encontré los errores, podrías hacerme el favor de darme mas detalles para poder encontrarlos y quitar esos errores, seria de mucha ayuda.
Podrían brindarme información sobre el autor y la fecha de publicación del articulo? Estoy realizando una monografía en matemáticas y esta agina me ha servido mucho pero necesito esa información para referenciar correctamente la información.
¡Hola Yanela! 👋 Desde Superprof nos alegra que el artículo te haya sido útil. 😊 Para referenciarlo correctamente en tu monografía, puedes citarlo de la siguiente manera:
«Superprof. Ejercicios resueltos de integrales por sustitución. [En línea] Disponible en: [URL del artículo].»
Por motivos de privacidad, no podemos facilitar datos personales del autor ni fecha exacta de publicación. 📚✨
Veo un error en el ejercicio 9 a la hora de devolver la variable, recuerda que x^2+1 = u^2, no x^2+1 = u
Hola tienes razón, una disculpa y ya se corrigió.
Hay un error en el integral de seno de x multiplicado por coseno de x.
Haciendo sustitución queda u^2/2 lo que indica que es sen(x)^2/2.
Hola en tu razonamiento estas bien, pero hay una cuestión para resolver este ejercicio hay dos formas una como tu dices y otra usando identidades trigonométricas, puedes comprobar que sale el mismo resultado en la integral definida.
holaa, en el caso 4, en la última identidad están mal los signos, sería sen(a)sen(b)=1/2(cos(a-b)-cos(a+b))
Hola la manera en como presentas la fórmula esta bien, pero en la propiedad 4 que mencionas es lo mismo pero escrita de forma diferente, si multiplicas por el signo negativo queda igual a lo que tienes, si tienen alguna duda mencionalo.