En el estudio de las integrales, existen ciertas expresiones cuya antiderivada no puede obtenerse mediante técnicas elementales como la sustitución simple o la integración por partes. En estos casos, es necesario recurrir a funciones especiales conocidas como funciones inversas trigonométricas.
Dos de las formas más comunes que aparecen en problemas de integración son aquellas que involucran las funciones arcoseno (arcsin) y arcotangente (arctan). Estas integrales surgen típicamente al enfrentar expresiones racionales que contienen raíces cuadradas de binomios del tipo
o cocientes que involucran sumas cuadráticas como
.

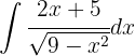
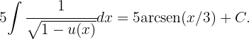
Para integrar esta función consideremos el siguiente cambio de variable,
.
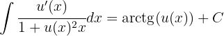
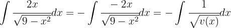
Derivando obtenemos que
. Al reemplazar concluimos que

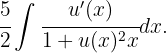
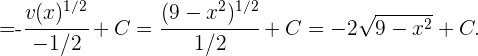
Al aplicar la formula de la integral trigonométrica inversa de la tangente, concluimos que



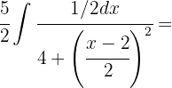
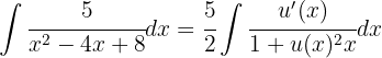
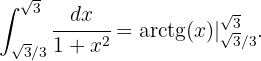
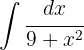
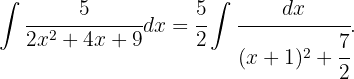
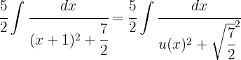
Primero expresamos el denominador del integrando de forma distinta

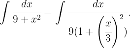
Ahora reemplazos en la integral y hacemos el cambio de variable
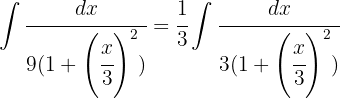
, 



Al aplicar la formula de la integral trigonométrica inversa de la tangente, concluimos que



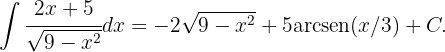
Para este caso dividimos la integral en dos partes que integraremos por separado.

Realizamos el cambio de variable
, con derivada
y obtenemos


Ahora usando la integral trigonométrica inversa del seno, calculamos la otra integral. Primero hacemos la sustitución
, con derivada 



Finalmente el resultado es


Para este caso realizamos la sustitución
, con derivada
Al reemplazar en la integral se obtiene que




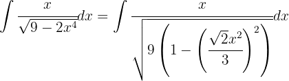
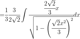
Lo primero que haremos es expresar el denominador de una manera diferente,

Ahora reemplazamos en la integral hacemos la sustitución
, con derivada
,





Realizamos la sustitución
, con derivada
, obtenemos




Primero hacemos una sustitución
, con derivada
.
Reemplazamos en la integral y utilizamos la formula para la integral inversa de la tangente,



Antes de integrar, hacemos la sustitución
, con derivada
.
Utilizamos la formula para la integral inversa del seno y obtenemos




Antes de integrar, hacemos la sustitución
, con derivada
.
Utilizamos la formula para la integral inversa del seno y obtenemos



Sustituimos
, con
,


Ahora usamos la integral inversa de la función seno




En este caso es facíl calcular la integral. Dado que solo debemos recordar la formula para la integral trigonométrica inversa de la tangente,

Al evaluar se obtiene


Primero factorizamos el denominador

Al reemplazar se obtiene que

Ahora hacemos la sustitución
, con derivada
, integrando se sigue que




Primero modificamos el denominador usando diferencia de cuadrados


Ahora reemplazamos en la integral

Ahora realizamos la sustitución
, con derivada
.




Primero hacemos una sustitución
, con derivada
.
Reemplazamos en la integral y utilizamos la formula para la integral inversa de la tangente,


Antes de integrar, hacemos la sustitución
, con derivada
.
Utilizamos la formula para la integral inversa del seno y obtenemos



Apuntes es una plataforma dirigida al estudio y la práctica de las matemáticas a través de la teoría y ejercicios interactivos que ponemos a vuestra disposición. Esta información está disponible para todo aquel/aquella que quiera profundizar en el aprendizaje de esta ciencia. Será un placer ayudaros en caso de que tengáis dudas frente algún problema, sin embargo, no realizamos un ejercicio que nos presentéis de 0 sin que hayáis si quiera intentado resolverlo. Ánimo, todo esfuerzo tiene su recompensa.
Fe de erratas:
Ej. 3: sobra una raíz de x en el denominador antes del
Resultado final.
Ej.4: En el resultado final falta el signo menos.
Un saludo.
Hola revise los ejemplos de muchas ejercicios y no encontré los errores, podrías hacerme el favor de darme mas detalles para poder encontrarlos y quitar esos errores, seria de mucha ayuda.
Podrían brindarme información sobre el autor y la fecha de publicación del articulo? Estoy realizando una monografía en matemáticas y esta agina me ha servido mucho pero necesito esa información para referenciar correctamente la información.
¡Hola Yanela! 👋 Desde Superprof nos alegra que el artículo te haya sido útil. 😊 Para referenciarlo correctamente en tu monografía, puedes citarlo de la siguiente manera:
«Superprof. Ejercicios resueltos de integrales por sustitución. [En línea] Disponible en: [URL del artículo].»
Por motivos de privacidad, no podemos facilitar datos personales del autor ni fecha exacta de publicación. 📚✨
Veo un error en el ejercicio 9 a la hora de devolver la variable, recuerda que x^2+1 = u^2, no x^2+1 = u
Hola tienes razón, una disculpa y ya se corrigió.
Hay un error en el integral de seno de x multiplicado por coseno de x.
Haciendo sustitución queda u^2/2 lo que indica que es sen(x)^2/2.
Hola en tu razonamiento estas bien, pero hay una cuestión para resolver este ejercicio hay dos formas una como tu dices y otra usando identidades trigonométricas, puedes comprobar que sale el mismo resultado en la integral definida.
holaa, en el caso 4, en la última identidad están mal los signos, sería sen(a)sen(b)=1/2(cos(a-b)-cos(a+b))
Hola la manera en como presentas la fórmula esta bien, pero en la propiedad 4 que mencionas es lo mismo pero escrita de forma diferente, si multiplicas por el signo negativo queda igual a lo que tienes, si tienen alguna duda mencionalo.