En este artículo repasaremos brevemente el procedimiento para integrar por medio del método de sustitución y, además, resolveremos ejercicios utilizando este método.
Introducción al método de sustitución
Antes de entrar a la integración por método de sustición tenemos que volver un poco atrás y recordar la derivación por el método de regla de cadena. Recordemos que la derivación por regla de cadena se aplica cuando buscamos derivar una composición de funciones.
Si tenemos una función compuesta de la forma

entonces su derivada, respecto a
está dada por

o en notación con diferenciales

entonces, siguiente el proceso inverso, tenemos que la antiderivada de
respecto a
está dada por

esto quiere decir que

Pasos del método de sustitución
Dada la función
, el método consiste en identificar una parte de lo que se va a integrar con una nueva variable
, de modo que obtengamos una integral más sencilla.
1 Primero intentamos definir
como una composición de la forma
.
2 Consigamos el diferencial de
. Notemos que al diferenciar
respecto a
tenemos que

3 Escribamos la integral en términos de 

4 Si la integral sobre
es más sencilla, procemos a integrar

5 Regresamos a la variable inicial

Ejercicios
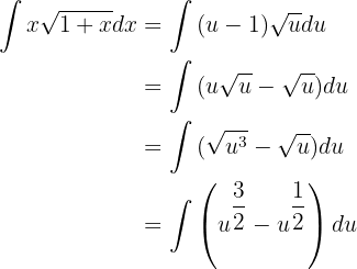
Resuelve la siguiente integral

Como indican los pasos, hagamos cambio de variable

notemos que de aquí también tenemos que
. Sustituyamos en la integral

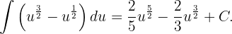
Notemos que la integral

es más sencilla de integrar respecto a
, integremos

Regresemos a nuestra variable original

Resuelve la siguiente integral

Como indican los pasos, hagamos cambio de variable

diferenciando obtenemos

Sustituyamos en la integral obtenemos

Notemos que la integral

es más sencilla de integrar respecto a
, por lo tanto integramos

Regresemos a nuestra variable original

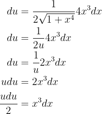
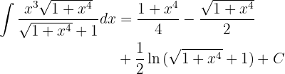
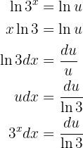
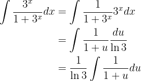
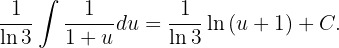
Resuelve la siguiente integral

Como indica los pasos, hagamos cambio de variable

Encontremos los diferenciales, para esto aplicaremos logaritmo primero y luego diferenciamos

Sustituyamos en la integral

Notemos que la integral

es más sencilla de integrar respecto a
, integremos

Regresemos a nuestra variable original

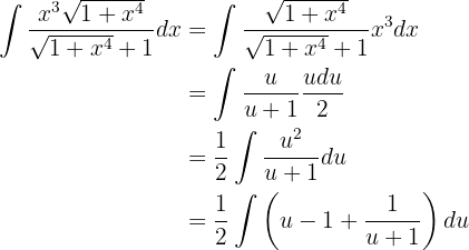
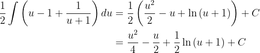
Resuelve la siguiente integral

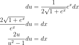
Como indica los pasos, hagamos cambio de variable

Encontremos los diferenciales, para esto aplicaremos logaritmo primero y luego diferenciamos

Notemos que la última igualdad se da porque
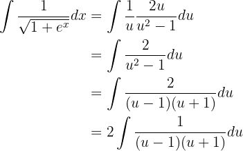
. Sustituyamos en la integral

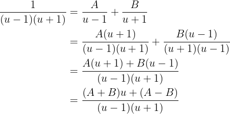
Aplicando fracciones parciales, tenemos que

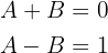
de donde se sigue el siguiente sistema de ecuaciones

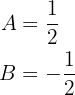
cuya solución es

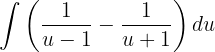
así nuestra integral en términos de
sería

Notemos que la integral

es más sencilla de integrar respecto a
, integremos

Regresemos a nuestra variable original










Apuntes es una plataforma dirigida al estudio y la práctica de las matemáticas a través de la teoría y ejercicios interactivos que ponemos a vuestra disposición. Esta información está disponible para todo aquel/aquella que quiera profundizar en el aprendizaje de esta ciencia. Será un placer ayudaros en caso de que tengáis dudas frente algún problema, sin embargo, no realizamos un ejercicio que nos presentéis de 0 sin que hayáis si quiera intentado resolverlo. Ánimo, todo esfuerzo tiene su recompensa.
Fe de erratas:
Ej. 3: sobra una raíz de x en el denominador antes del
Resultado final.
Ej.4: En el resultado final falta el signo menos.
Un saludo.
Hola revise los ejemplos de muchas ejercicios y no encontré los errores, podrías hacerme el favor de darme mas detalles para poder encontrarlos y quitar esos errores, seria de mucha ayuda.
Podrían brindarme información sobre el autor y la fecha de publicación del articulo? Estoy realizando una monografía en matemáticas y esta agina me ha servido mucho pero necesito esa información para referenciar correctamente la información.
¡Hola Yanela! 👋 Desde Superprof nos alegra que el artículo te haya sido útil. 😊 Para referenciarlo correctamente en tu monografía, puedes citarlo de la siguiente manera:
«Superprof. Ejercicios resueltos de integrales por sustitución. [En línea] Disponible en: [URL del artículo].»
Por motivos de privacidad, no podemos facilitar datos personales del autor ni fecha exacta de publicación. 📚✨
Veo un error en el ejercicio 9 a la hora de devolver la variable, recuerda que x^2+1 = u^2, no x^2+1 = u
Hola tienes razón, una disculpa y ya se corrigió.
Hay un error en el integral de seno de x multiplicado por coseno de x.
Haciendo sustitución queda u^2/2 lo que indica que es sen(x)^2/2.
Hola en tu razonamiento estas bien, pero hay una cuestión para resolver este ejercicio hay dos formas una como tu dices y otra usando identidades trigonométricas, puedes comprobar que sale el mismo resultado en la integral definida.
holaa, en el caso 4, en la última identidad están mal los signos, sería sen(a)sen(b)=1/2(cos(a-b)-cos(a+b))
Hola la manera en como presentas la fórmula esta bien, pero en la propiedad 4 que mencionas es lo mismo pero escrita de forma diferente, si multiplicas por el signo negativo queda igual a lo que tienes, si tienen alguna duda mencionalo.