El estudio de las integrales que involucran funciones trigonométricas, especialmente seno y coseno, es una parte fundamental del cálculo integral. Estas funciones aparecen con frecuencia en problemas de física, ingeniería y matemáticas aplicadas, por lo que dominar su integración es esencial para el desarrollo académico y profesional en estas áreas.
En este artículo, se presentan ejercicios resueltos paso a paso enfocados en integrales que contienen funciones seno y coseno, en diversas combinaciones y formas. Se abordan métodos como la sustitución trigonométrica, identidades trigonométricas, y técnicas de integración directa, con el fin de proporcionarte una visión clara de cuándo y cómo aplicar cada uno.
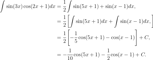
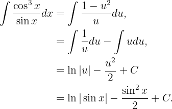
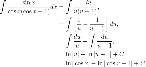
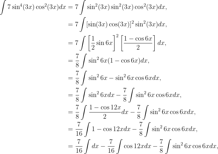
Resolver las siguientes integrales trigonométricas tipo seno y coseno:

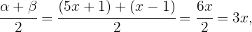
Recordemos primeramente la siguiente igualdad

Ahora bien, notemos que si consideramos

entonces


Utilizando lo anterior y la igualdad (1) obtenemos que

por tanto


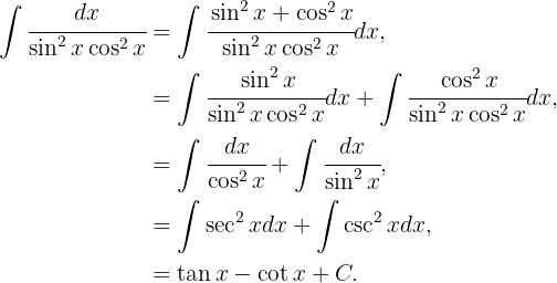
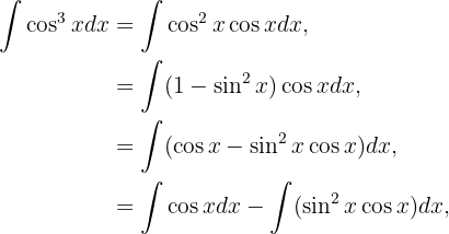
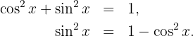
Las siguientes identidades trigonométricas nos serán de utilidad en la resolución de este ejercicio

Ahora bien,


Recordemos que

la cual nos será de utilidad más adelante. Entonces,

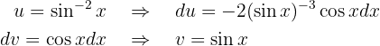
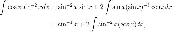
Dado que el valor de la primera integral es conocido
continuaremos resolviendo la segunda integral paso a paso utilizando integración por partes.
Consideremos

entonces

despejando obtenemos

Por lo tanto


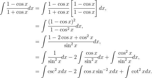
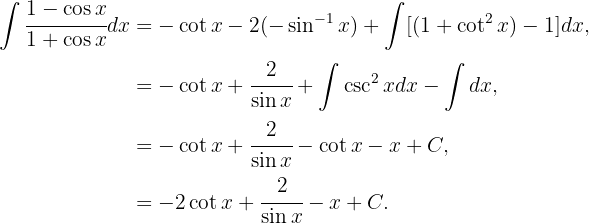
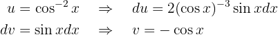
Para la resolución de esta integral, recordemos la identidad

Entonces,

Similarmente al ejercicio anterior, tenemos que la primera integral es inmediata y la segunda la podemos calcular utilizando integración por partes.
Considerando

obtenemos

Por lo tanto


Consideremos que de la identidad

Entonces, sustituyendo (2) en la integral que queremos resolver, obtenemos

A continuación, resolveremos la integral utilizando sustitución.
Consideraremos

y obtenemos


Sustituyendo la identidad

la integral que queremos resolver toma la forma

Nuevamente resolveremos la integral utilizando sustitución. Consideramos

y obtenemos


Para este ejercicio las siguientes identidades serán muy importantes, pues las utilizaremos varias veces

Tenemos

Similarmente a ejercicios anteriores utilizamos sustitución para resolver la ultima integral y finalmente obtenemos que


Consideremos que de la identidad

Entonces la integral que queremos resolver toma la forma

Para la segunda integral utilizamos sustitución considerando
entonces llegamos a que


Consideremos que de la identidad

Entonces la integral que queremos resolver toma la forma

Para la segunda integral utilizamos sustitución considerando
entonces llegamos a que


Consideremos que de la identidad

Sustituyendo esta última igualdad en la integral que queremos resolver, obtenemos que

Del ejercicio 9 conocemos el resultado de la primera integral, mientras que la segunda y tercera se obtienen integrando por sustitución utilizando
, entonces


Apuntes es una plataforma dirigida al estudio y la práctica de las matemáticas a través de la teoría y ejercicios interactivos que ponemos a vuestra disposición. Esta información está disponible para todo aquel/aquella que quiera profundizar en el aprendizaje de esta ciencia. Será un placer ayudaros en caso de que tengáis dudas frente algún problema, sin embargo, no realizamos un ejercicio que nos presentéis de 0 sin que hayáis si quiera intentado resolverlo. Ánimo, todo esfuerzo tiene su recompensa.
Fe de erratas:
Ej. 3: sobra una raíz de x en el denominador antes del
Resultado final.
Ej.4: En el resultado final falta el signo menos.
Un saludo.
Hola revise los ejemplos de muchas ejercicios y no encontré los errores, podrías hacerme el favor de darme mas detalles para poder encontrarlos y quitar esos errores, seria de mucha ayuda.
Podrían brindarme información sobre el autor y la fecha de publicación del articulo? Estoy realizando una monografía en matemáticas y esta agina me ha servido mucho pero necesito esa información para referenciar correctamente la información.
¡Hola Yanela! 👋 Desde Superprof nos alegra que el artículo te haya sido útil. 😊 Para referenciarlo correctamente en tu monografía, puedes citarlo de la siguiente manera:
«Superprof. Ejercicios resueltos de integrales por sustitución. [En línea] Disponible en: [URL del artículo].»
Por motivos de privacidad, no podemos facilitar datos personales del autor ni fecha exacta de publicación. 📚✨
Veo un error en el ejercicio 9 a la hora de devolver la variable, recuerda que x^2+1 = u^2, no x^2+1 = u
Hola tienes razón, una disculpa y ya se corrigió.
Hay un error en el integral de seno de x multiplicado por coseno de x.
Haciendo sustitución queda u^2/2 lo que indica que es sen(x)^2/2.
Hola en tu razonamiento estas bien, pero hay una cuestión para resolver este ejercicio hay dos formas una como tu dices y otra usando identidades trigonométricas, puedes comprobar que sale el mismo resultado en la integral definida.
holaa, en el caso 4, en la última identidad están mal los signos, sería sen(a)sen(b)=1/2(cos(a-b)-cos(a+b))
Hola la manera en como presentas la fórmula esta bien, pero en la propiedad 4 que mencionas es lo mismo pero escrita de forma diferente, si multiplicas por el signo negativo queda igual a lo que tienes, si tienen alguna duda mencionalo.