Fórmula de la integral del coseno
Recordemos que la derivada de la función
es
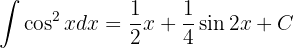
. Esto nos indica que la integral del coseno es

donde
es una constante arbitraria. Recordemos que la constante de integración es necesaria pues la derivada de cualquier constante es 0.
Similarmente, si el argumento del coseno es otra función
, entonces la integral es

Observemos que
debe multiplicar al coseno para poder integrar.
Ejercicios con la integral del coseno
Integra la siguientes funciones

Para resolver la integral, primero utilizamos al propiedad lineal de las integrales:

Luego resolvemos cada una de las integrales por separado:

Por tanto,


Para resolver esta integral, observemos primero que
, por lo tanto,
debe multiplicar al coseno. Notemos que

Así, la integral se puede escribir como

Luego, la integral se vuelve

En consecuencia


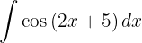
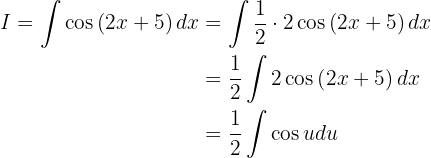
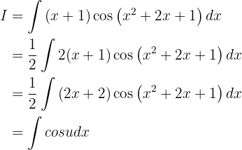
En este caso, el argumento del coseno es
. La derivada del argumento es

Observemos que el coseno está siendo multiplicado por
, por tanto, podemos escribir la integral de la forma

Así, la integral es

Por tanto,


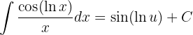
Aquí tenemos que el argumento del seno es
. Luego, la derivada del argumento es

De este modo, la integral se puede escribir como

Integramos:

Luego, el resultado es


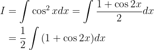
En este caso tenemos
. Primero debemos notar que no se puede aplicar la fórmula de la integral del coseno directamente. Por tanto, debemos utilizar una identidad trigonométrica, que en este caso es

De aquí, la integral se vuelve

Por tanto, al integrar, tenemos

De este modo, la respuesta es

Siempre que tengamos un coseno elevado a una potencia par, utilizaremos un procedimiento similar hasta que tengamos una expresión con puros cosenos sin elevar a ninguna potencia.

Notemos ahora que tenemos
. Se trata de un coseno elevado a una potencia impar, por lo tanto debemos escribirlo como

Luego, utilizamos la identidad pitagórica en el
, pata obtener

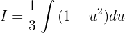
Así, podemos escribir la integral como

Notemos que no es una integral de coseno, sin embargo, tenemos la sustitución
. Luego, su integral es

Así, al sustituir, la integral se vuelve

Que, al integrar, tenemos

Por tanto, el resultado es

Cuando tenemos un coseno elevado a una potencia impar
, siempre debemos escribir
y luego utilizar una identidad pitagórica para resolver la integral.









Apuntes es una plataforma dirigida al estudio y la práctica de las matemáticas a través de la teoría y ejercicios interactivos que ponemos a vuestra disposición. Esta información está disponible para todo aquel/aquella que quiera profundizar en el aprendizaje de esta ciencia. Será un placer ayudaros en caso de que tengáis dudas frente algún problema, sin embargo, no realizamos un ejercicio que nos presentéis de 0 sin que hayáis si quiera intentado resolverlo. Ánimo, todo esfuerzo tiene su recompensa.
Fe de erratas:
Ej. 3: sobra una raíz de x en el denominador antes del
Resultado final.
Ej.4: En el resultado final falta el signo menos.
Un saludo.
Hola revise los ejemplos de muchas ejercicios y no encontré los errores, podrías hacerme el favor de darme mas detalles para poder encontrarlos y quitar esos errores, seria de mucha ayuda.
Podrían brindarme información sobre el autor y la fecha de publicación del articulo? Estoy realizando una monografía en matemáticas y esta agina me ha servido mucho pero necesito esa información para referenciar correctamente la información.
¡Hola Yanela! 👋 Desde Superprof nos alegra que el artículo te haya sido útil. 😊 Para referenciarlo correctamente en tu monografía, puedes citarlo de la siguiente manera:
«Superprof. Ejercicios resueltos de integrales por sustitución. [En línea] Disponible en: [URL del artículo].»
Por motivos de privacidad, no podemos facilitar datos personales del autor ni fecha exacta de publicación. 📚✨
Veo un error en el ejercicio 9 a la hora de devolver la variable, recuerda que x^2+1 = u^2, no x^2+1 = u
Hola tienes razón, una disculpa y ya se corrigió.
Hay un error en el integral de seno de x multiplicado por coseno de x.
Haciendo sustitución queda u^2/2 lo que indica que es sen(x)^2/2.
Hola en tu razonamiento estas bien, pero hay una cuestión para resolver este ejercicio hay dos formas una como tu dices y otra usando identidades trigonométricas, puedes comprobar que sale el mismo resultado en la integral definida.
holaa, en el caso 4, en la última identidad están mal los signos, sería sen(a)sen(b)=1/2(cos(a-b)-cos(a+b))
Hola la manera en como presentas la fórmula esta bien, pero en la propiedad 4 que mencionas es lo mismo pero escrita de forma diferente, si multiplicas por el signo negativo queda igual a lo que tienes, si tienen alguna duda mencionalo.