Capítulos
Métodos de integración
Integración por partes
El método de integración por partes permite calcular la integral de un producto de dos funciones aplicando la fórmula:

En las integrales racionales, donde el numerador y el denominador son polinomios, suponemos que el grado del numerador es menor que del denominador, si no fuera así, se dividiría.
Recomendaciones a considerar al utilizar integración por partes:
- Las funciones logarítmicas se eligen como
.
- Las funciones trigonométricas inversas (arcoseno, arcocoseno, arcotangente, etc.) se eligen como
. - Los polinomios se eligen como
.
- Las funciones exponenciales del tipo seno y coseno, se eligen como
.
- Las funciones trigonométricas del tipo seno y coseno, se eligen como
. - Si al integrar por partes tenemos un polinomio de grado
, lo tomamos como
y se repite el proceso
veces. - Si tenemos una integral con sólo un logaritmo, integramos por partes tomando:
. - Si tenemos una integral con sólo una trigonométrica inversa, integramos por partes tomando:
.
Integrales por sustitución o cambio de variable
El método de integración por sustitución o cambio de variable se basa en la derivada de la composición de dos funciones.

Si nuestro integrando
podemos expresarlo como
, en donde
,entonces tendríamos

Para cambiar de variable identificamos una parte de lo que se va a integrar con una nueva variable
, de modo que se obtenga una integral más sencilla.
Pasos para integrar por cambio de variable

1Se hace el cambio de variable y se diferencia en los dos términos:


2 Se despeja
y sutituyendo en la integral
y
:

3Si la integral resultante es más sencilla, integramos:

4 Se vuelve a la variable inicial:

Cambios de variables usuales
En las funciones racionales de radicales con distintos índices, de un mismo radicando lineal
, el cambio de variable es
elevado al mínimo común múltiplo de los índices.
Integrales racionales
Las integrales racionales tienen la forma

en donde
y
son polinomios.
Una vez que sabemos que el denominador tiene mayor grado que numerador, descomponemos el denominador en factores.
Dependiendo de las raíces del denominador nos encontramos con los siguientes tipos de integrales racionales:
Caso 1: Integrales racionales con raíces reales simples
La fracción
puede escribirse así:

Los coeficientes
,
y
son números que se obtienen efectuando la suma e identificando coeficientes o dando valores a
.
Ejemplo

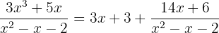
1 Notemos que como el grado del denominador no es mayor que el del numerador, entonces primero debemos realizar la división para poder transformar esta fracción en la suma de un polinomio con otra fracción que si tenga un denominador con grado mayor que el numerador. Si realizamos la división de los polinomios dentro de la integral tenemos que

2 por lo que nuestra integral la podríamos escribir como

3 Ahora, tenemos que la fracción
si cumple que el denominador es de mayor grado que el numerador. Tenemos que podemos factorizar el denominador como el producto
, así

4Se efectúa la suma para conseguir los valores de
y
:

5 Como las dos fracciones tienen el mismo denominador, los numeradores han de ser iguales:

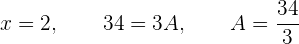
6 Calculamos los coeficientes de
,
y
dando a la
los valores que anulan al denominador.


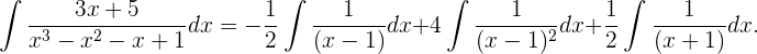
7Así, finalmente tenemos que nuestra integral la podemos expresar como

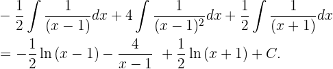
8 Notemos que estas son sumas de integrales más fáciles de resolver, en donde
9 O bien, en términos de nuestra integral inicial

Caso 2: Integrales racionales con raíces reales múltiples
La fracción
, en donde
tiene
veces el factor
, puede escribirse así:


1 Notemos que el denominador lo podemos expresar como el producto

2 Por lo tanto podemos expresar la fracción como

3 Realizando la suma de las fracciones tenemos

4 Para calcular los valores de
,
y
, damos a
los valores que anulan al denominador y otro más:



5 Así, podemos expresar nuestra integral como

6 Esta es una suma de integrales más sencillas cuyo resultado es
7 O bien, en términos de nuestra integral inicial

Caso 3: Integrales racionales con raíces complejas simples
La fracción
, en donde
tiene alguna raíz compleja (no se pude expresar en factores simples reales), puede escribirse así:

Esta integral se descompone en la suma de integrales de tipo logarítmico y de trigonométricas inversas.
Ejemplo

1 Notemos que el denominador lo podemos factorizar como
. No podemos factorizar más
en producto de factores simples reales, por lo que lo dejamos como un factor de grado dos. Así

2 Realizando la suma tenemos que

3 Hallamos los coeficientes realizando las operaciones e igualando coeficientes:

4 Entonces obtenemos que
5 Además

6 por lo que tenemos que

7 Así, podemos escribir nuestra integral como

8 la cual es más fácil de integral y cuyo resultado es

9 O bien, en términos de nuestra integral inicial

Resumir con IA:













Apuntes es una plataforma dirigida al estudio y la práctica de las matemáticas a través de la teoría y ejercicios interactivos que ponemos a vuestra disposición. Esta información está disponible para todo aquel/aquella que quiera profundizar en el aprendizaje de esta ciencia. Será un placer ayudaros en caso de que tengáis dudas frente algún problema, sin embargo, no realizamos un ejercicio que nos presentéis de 0 sin que hayáis si quiera intentado resolverlo. Ánimo, todo esfuerzo tiene su recompensa.
Fe de erratas:
Ej. 3: sobra una raíz de x en el denominador antes del
Resultado final.
Ej.4: En el resultado final falta el signo menos.
Un saludo.
Hola revise los ejemplos de muchas ejercicios y no encontré los errores, podrías hacerme el favor de darme mas detalles para poder encontrarlos y quitar esos errores, seria de mucha ayuda.
Podrían brindarme información sobre el autor y la fecha de publicación del articulo? Estoy realizando una monografía en matemáticas y esta agina me ha servido mucho pero necesito esa información para referenciar correctamente la información.
¡Hola Yanela! 👋 Desde Superprof nos alegra que el artículo te haya sido útil. 😊 Para referenciarlo correctamente en tu monografía, puedes citarlo de la siguiente manera:
«Superprof. Ejercicios resueltos de integrales por sustitución. [En línea] Disponible en: [URL del artículo].»
Por motivos de privacidad, no podemos facilitar datos personales del autor ni fecha exacta de publicación. 📚✨
Veo un error en el ejercicio 9 a la hora de devolver la variable, recuerda que x^2+1 = u^2, no x^2+1 = u
Hola tienes razón, una disculpa y ya se corrigió.
Hay un error en el integral de seno de x multiplicado por coseno de x.
Haciendo sustitución queda u^2/2 lo que indica que es sen(x)^2/2.
Hola en tu razonamiento estas bien, pero hay una cuestión para resolver este ejercicio hay dos formas una como tu dices y otra usando identidades trigonométricas, puedes comprobar que sale el mismo resultado en la integral definida.
holaa, en el caso 4, en la última identidad están mal los signos, sería sen(a)sen(b)=1/2(cos(a-b)-cos(a+b))
Hola la manera en como presentas la fórmula esta bien, pero en la propiedad 4 que mencionas es lo mismo pero escrita de forma diferente, si multiplicas por el signo negativo queda igual a lo que tienes, si tienen alguna duda mencionalo.