Capítulos
Método de sustitución
El método de integración por sustitución o cambio de variable se basa en la derivada de la función compuesta.
 
    Para cambiar de variable identificamos una parte de lo que se va a integrar con una nueva variable t, de modo que se obtenga una integral más sencilla.
Pasos para integrar por cambio de variable
 
    1 Se hace el cambio de variable y se diferencia en los dos términos:
 
    
    2Se sutituye la diferencial en la integral:
 
    3 Si la integral resultante es más sencilla, integramos:
 
    4 Se vuelve a la variable inicial:
 
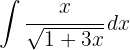
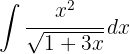
        Ejemplo: Resuelve empleando integración por cambio de variable, la integral
 
    1 Realizamos el cambio de variable
 
    Calculamos la diferencial
 
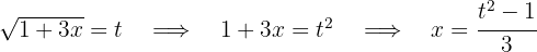
    2Sustituimos en la integral y simplificamos el integrando
 
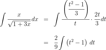
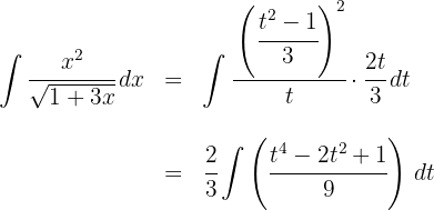
    3Resolvemos la nueva integral
 
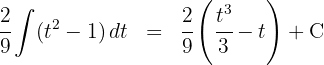
    4Regresamos a la variable inicial, para ello empleamos 
 
    Así la solución buscada es
 
        Cambios de variables usuales
A continuación enumeramos algunos de los cambios de variables empleados par resolver integrales
1  
2  
3  
4  
5  En las funciones racionales de radicales con distintos índices, de un mismo radicando lineal  , el cambio de variable es
, el cambio de variable es  elevado al mínimo común múltiplo de los índices.
 elevado al mínimo común múltiplo de los índices.
6  Si  es par:
 es par:
 
    7  Si  no es par:
 no es par:
 
        Ejercicios propuestos
Resuelve las siguientes integrales, empleando el método de sustitución.

1 Realizamos el cambio de variable

Calculamos la diferencial

2Sustituimos en la integral y simplificamos el integrando

3Resolvemos la nueva integral

4Regresamos a la variable inicial, para ello empleamos 

Así la solución buscada es


1 Realizamos el cambio de variable

Calculamos la diferencial

2Sustituimos en la integral y simplificamos el integrando

3Resolvemos la nueva integral

4Regresamos a la variable inicial, para ello empleamos 

Así la solución buscada es


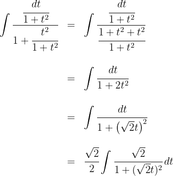
1 Realizamos el cambio de variable y calculamos su diferencial


2Sustituimos en la integral y para simplificar empleamos identidades trigonométricas

3Resolvemos las integrales obtenidas

4Regresamos a la variable inicial, para ello despejamos  en el cambio de variable inicial
en el cambio de variable inicial

Calculamos para el seno y coseno de 


Así, el resultado se expresa en la variable  como
 como


1 Realizamos el cambio de variable y calculamos su diferencial


2Sustituimos en la integral y simplificamos

3Resolvemos las integrales obtenidas

4Regresamos a la variable inicial


1 Realizamos el cambio de variable y calculamos su diferencial


2Sustituimos en la integral y simplificamos

3Resolvemos las integrales obtenidas

4Regresamos a la variable inicial


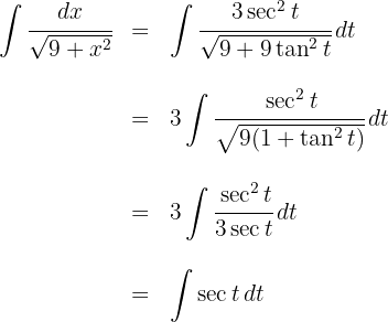
1 Realizamos el cambio de variable y calculamos su diferencial


2Sustituimos en la integral y simplificamos

3Resolvemos las integrales obtenidas

4Regresamos a la variable inicial


1 Realizamos el cambio de variable y calculamos su diferencial


2Sustituimos en la integral y simplificamos

3Resolvemos las integrales obtenidas

4Regresamos a la variable inicial

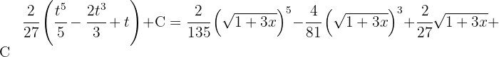
Así, la solución en termino de la variable inical es


1 Realizamos el cambio de variable y calculamos su diferencial


2Sustituimos en la integral y simplificamos

3Resolvemos las integrales obtenidas

4Regresamos a la variable inicial

Así, la solución en termino de la variable inical es


1 Realizamos el cambio de variable y calculamos su diferencial


2Sustituimos en la integral y simplificamos

3Resolvemos las integrales obtenidas

4Regresamos a la variable inicial

Así, la solución en termino de la variable inical es


1 Realizamos el cambio de variable y calculamos su diferencial


2Sustituimos en la integral y simplificamos

3Resolvemos las integrales obtenidas

4Regresamos a la variable inicial

Así, la solución en termino de la variable inical es









 Cargando...
Cargando...
Apuntes es una plataforma dirigida al estudio y la práctica de las matemáticas a través de la teoría y ejercicios interactivos que ponemos a vuestra disposición. Esta información está disponible para todo aquel/aquella que quiera profundizar en el aprendizaje de esta ciencia. Será un placer ayudaros en caso de que tengáis dudas frente algún problema, sin embargo, no realizamos un ejercicio que nos presentéis de 0 sin que hayáis si quiera intentado resolverlo. Ánimo, todo esfuerzo tiene su recompensa.
Podrían brindarme información sobre el autor y la fecha de publicación del articulo? Estoy realizando una monografía en matemáticas y esta agina me ha servido mucho pero necesito esa información para referenciar correctamente la información.
¡Hola Yanela! 👋 Desde Superprof nos alegra que el artículo te haya sido útil. 😊 Para referenciarlo correctamente en tu monografía, puedes citarlo de la siguiente manera:
«Superprof. Ejercicios resueltos de integrales por sustitución. [En línea] Disponible en: [URL del artículo].»
Por motivos de privacidad, no podemos facilitar datos personales del autor ni fecha exacta de publicación. 📚✨
Veo un error en el ejercicio 9 a la hora de devolver la variable, recuerda que x^2+1 = u^2, no x^2+1 = u
Hola tienes razón, una disculpa y ya se corrigió.
Hay un error en el integral de seno de x multiplicado por coseno de x.
Haciendo sustitución queda u^2/2 lo que indica que es sen(x)^2/2.
Hola en tu razonamiento estas bien, pero hay una cuestión para resolver este ejercicio hay dos formas una como tu dices y otra usando identidades trigonométricas, puedes comprobar que sale el mismo resultado en la integral definida.
holaa, en el caso 4, en la última identidad están mal los signos, sería sen(a)sen(b)=1/2(cos(a-b)-cos(a+b))
Hola la manera en como presentas la fórmula esta bien, pero en la propiedad 4 que mencionas es lo mismo pero escrita de forma diferente, si multiplicas por el signo negativo queda igual a lo que tienes, si tienen alguna duda mencionalo.