En este artículo estudiaremos cómo calcular las integrales racionales de seno y coseno cuando el integrando es una función no par. Es decir, si
denota una función racional en seno y coseno entonces, para calcular
hacemos la sustitución
donde la función racional satisface que

La sustitución
está representada en la siguiente figura:

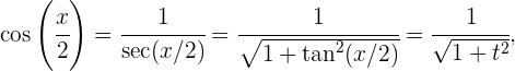
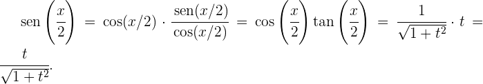
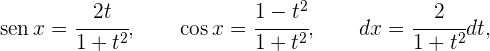
De la figura 1 podemos observar que

y que 
Luego se tiene que 
y 
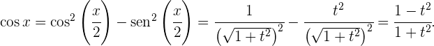
Además, dado que
entonces
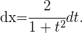
, y por tanto, 
Resumiendo, si un integrando es una expresión racional no par en senos y cosenos, entonces la sustitución 
donde
convertirá el integrando en una función racional en
. El resultado puede entonces calcularse utilizando los métodos discutidos en otros artículos.
Ejemplos:
1
Solución:
Claramente el integrando no es una función racional par, entonces hacemos la sustitución
y aplicamos las identidades de arriba. Así, tenemos que

Por lo tanto, regresando a la variable original tenemos que 
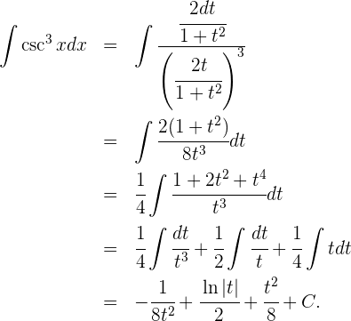
2
Solución:
Nuevamente se tiene que el intregrando no es par, así volvemos a realizar la sustitución
. Por lo tanto se tiene que

Regresando a la variable original finalmente tenemos que


Apuntes es una plataforma dirigida al estudio y la práctica de las matemáticas a través de la teoría y ejercicios interactivos que ponemos a vuestra disposición. Esta información está disponible para todo aquel/aquella que quiera profundizar en el aprendizaje de esta ciencia. Será un placer ayudaros en caso de que tengáis dudas frente algún problema, sin embargo, no realizamos un ejercicio que nos presentéis de 0 sin que hayáis si quiera intentado resolverlo. Ánimo, todo esfuerzo tiene su recompensa.
Fe de erratas:
Ej. 3: sobra una raíz de x en el denominador antes del
Resultado final.
Ej.4: En el resultado final falta el signo menos.
Un saludo.
Hola revise los ejemplos de muchas ejercicios y no encontré los errores, podrías hacerme el favor de darme mas detalles para poder encontrarlos y quitar esos errores, seria de mucha ayuda.
Podrían brindarme información sobre el autor y la fecha de publicación del articulo? Estoy realizando una monografía en matemáticas y esta agina me ha servido mucho pero necesito esa información para referenciar correctamente la información.
¡Hola Yanela! 👋 Desde Superprof nos alegra que el artículo te haya sido útil. 😊 Para referenciarlo correctamente en tu monografía, puedes citarlo de la siguiente manera:
«Superprof. Ejercicios resueltos de integrales por sustitución. [En línea] Disponible en: [URL del artículo].»
Por motivos de privacidad, no podemos facilitar datos personales del autor ni fecha exacta de publicación. 📚✨
Veo un error en el ejercicio 9 a la hora de devolver la variable, recuerda que x^2+1 = u^2, no x^2+1 = u
Hola tienes razón, una disculpa y ya se corrigió.
Hay un error en el integral de seno de x multiplicado por coseno de x.
Haciendo sustitución queda u^2/2 lo que indica que es sen(x)^2/2.
Hola en tu razonamiento estas bien, pero hay una cuestión para resolver este ejercicio hay dos formas una como tu dices y otra usando identidades trigonométricas, puedes comprobar que sale el mismo resultado en la integral definida.
holaa, en el caso 4, en la última identidad están mal los signos, sería sen(a)sen(b)=1/2(cos(a-b)-cos(a+b))
Hola la manera en como presentas la fórmula esta bien, pero en la propiedad 4 que mencionas es lo mismo pero escrita de forma diferente, si multiplicas por el signo negativo queda igual a lo que tienes, si tienen alguna duda mencionalo.