Las integrales logarítmicas forman parte de los temas clave en el cálculo integral, ya que combinan el cálculo de antiderivadas con la función logarítmica, una de las funciones elementales más importantes en matemáticas.
En este artículo, presentamos una serie de ejercicios resueltos que abarcan distintos casos de integrales logarítmicas, desde las más sencillas hasta aquellas que requieren pasos intermedios más elaborados. Cada ejercicio incluye un desarrollo detallado, explicando el razonamiento detrás de cada técnica utilizada, con el objetivo de que puedas comprender no solo el procedimiento, sino también la estrategia para abordar este tipo de integrales.
Calcular las integrales logarítmicas:

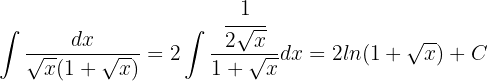
Para resolver la siguiente integral haremos un cambio de variable

y posteriormente resolvemos la integral


Para resolver la siguiente integral haremos un cambio de variable

y posteriormente resolvemos la integral


Para resolver la siguiente integral haremos un cambio de variable

y posteriormente resolvemos la integral


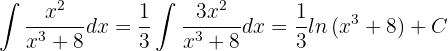
Para resolver la siguiente integral haremos un cambio de variable

y posteriormente resolvemos la integral


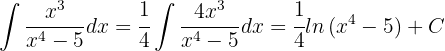
Para resolver la siguiente integral haremos un cambio de variable

y posteriormente resolvemos la integral


Para resolver la siguiente integral utilizamos la definición

y luego hacemos un cambio de variable
,
luego resolvemos la integral,


Para resolver la siguiente integral utilizamos la definición

y luego hacemos un cambio de variable
,
luego resolvemos la integral,


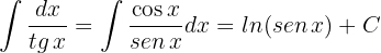
Para resolver la siguiente integral utilizamos la definición

y luego hacemos un cambio de variable
,
luego resolvemos la integral,


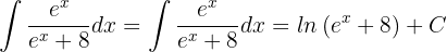
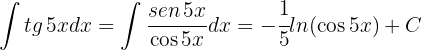
Para resolver la siguiente integral utilizamos la definición

y luego hacemos un cambio de variable
,
luego resolvemos la integral,


Para resolver la siguiente integral hacemos un cambio de variable
,
luego resolvemos la integral,


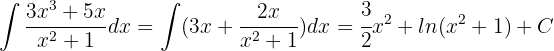
Para resolver la siguiente integral simplificamos la fracción y luego resolvemos la integral,


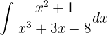
Hacemos una división sintética y luego resolvemos la integral haciendo un cambio de variable
,
luego resolvemos la integral

Al dividir
obtenemos
como entero y
como residuo, por lo tanto, reescribimos la integral y resolvemos,


Factorizamos el signo negativo para luego hacer un cambio de variable
,
luego resolvemos la integral


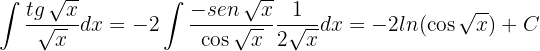
Hacemos un cambio de variable
,
luego resolvemos la integral


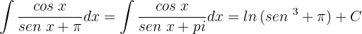
Para resolver la siguiente integral utilizamos la definición

y luego hacemos un cambio de variable
,
luego resolvemos la integral,


Apuntes es una plataforma dirigida al estudio y la práctica de las matemáticas a través de la teoría y ejercicios interactivos que ponemos a vuestra disposición. Esta información está disponible para todo aquel/aquella que quiera profundizar en el aprendizaje de esta ciencia. Será un placer ayudaros en caso de que tengáis dudas frente algún problema, sin embargo, no realizamos un ejercicio que nos presentéis de 0 sin que hayáis si quiera intentado resolverlo. Ánimo, todo esfuerzo tiene su recompensa.
Fe de erratas:
Ej. 3: sobra una raíz de x en el denominador antes del
Resultado final.
Ej.4: En el resultado final falta el signo menos.
Un saludo.
Hola revise los ejemplos de muchas ejercicios y no encontré los errores, podrías hacerme el favor de darme mas detalles para poder encontrarlos y quitar esos errores, seria de mucha ayuda.
Podrían brindarme información sobre el autor y la fecha de publicación del articulo? Estoy realizando una monografía en matemáticas y esta agina me ha servido mucho pero necesito esa información para referenciar correctamente la información.
¡Hola Yanela! 👋 Desde Superprof nos alegra que el artículo te haya sido útil. 😊 Para referenciarlo correctamente en tu monografía, puedes citarlo de la siguiente manera:
«Superprof. Ejercicios resueltos de integrales por sustitución. [En línea] Disponible en: [URL del artículo].»
Por motivos de privacidad, no podemos facilitar datos personales del autor ni fecha exacta de publicación. 📚✨
Veo un error en el ejercicio 9 a la hora de devolver la variable, recuerda que x^2+1 = u^2, no x^2+1 = u
Hola tienes razón, una disculpa y ya se corrigió.
Hay un error en el integral de seno de x multiplicado por coseno de x.
Haciendo sustitución queda u^2/2 lo que indica que es sen(x)^2/2.
Hola en tu razonamiento estas bien, pero hay una cuestión para resolver este ejercicio hay dos formas una como tu dices y otra usando identidades trigonométricas, puedes comprobar que sale el mismo resultado en la integral definida.
holaa, en el caso 4, en la última identidad están mal los signos, sería sen(a)sen(b)=1/2(cos(a-b)-cos(a+b))
Hola la manera en como presentas la fórmula esta bien, pero en la propiedad 4 que mencionas es lo mismo pero escrita de forma diferente, si multiplicas por el signo negativo queda igual a lo que tienes, si tienen alguna duda mencionalo.