Capítulos
La integral definida es un caso de la integral utilizado para determinar el valor de las áreas delimitadas por una gráfica dentro de un intervalo y el eje horizontal. Sele puede encontrar en diversas áreas y contextos como la biología (en crecimiento de poblaciones), robótica (algoritomo de seguimiento de lineas), arquitectura (volúmenes de sólidos), etc, más adelante se dará un ejemplo específico de una aplicación.
Formalmente se define de la siguiente manera:
Definición de la integral definida
Dada una función f(x) de una variable real x y un intervalo [a,b] de la recta real, la integral definida es igual al área limitada entre la gráfica de f(x), el eje de abscisas, y las líneas verticales x = a y x = b.

Se representa por
.
es el signo de integración.- a es el límite inferior de la integración.
- b es el límite superior de la integración.
es el integrando o función a integrar.
es el diferencial de x y nos indica cuál es la variable de la función que se integra.
Propiedades de la integral definida
1 El valor de la integral definida cambia de signo si se permutan los límites de integración.

Esta propiedad nos puede servir para no operar con signos negativos.
Ejemplo:

2 Si los límites de integración coinciden, la integral definida vale cero.

En realidad, al tener el mismo límite de integración en ambos extremos no existe ningún área a calcular, es por eso que la integral es igual a cero en este caso.
Ejemplo:


Al estar el punto c entre a y b sobre el eje de las abcisas, el área limitada por el intervalo [a,b] es la suma de las áreas limitadas por [a,c] y [c,d], lo mismo ocurre con el valor de la integral.
Ejemplo:
Para 7 que pertenece al intervalo [3,10]

4 La integral definida de una suma de funciones es igual a la suma de integrales.

Esta propiedad nos puede servir para no tener expresiones muy largas dentro de una misma integral y así manipular y hacer cálculos más facilmente , o en el otro caso, agrupar expresiones para un cálculo más cómodo.
Ejemplo:
Para
y
,

5 La integral del producto de una constante k por una función es igual a la constante k multiplicada por la integral de la función.

Esto es sacar la constante fuera de la integral.
Ejemplo:
Para la constante k=3

Ejemplo de aplicación
En éste ejemplo implementaremos las propiedades anteriores en una aplicación de la integral en crecimiento poblacional, para una mejor visualización.
Una población crece con una tasa de
individuos por año (donde
es el número de años). En el primer año la población es de 1500 personas.
¿Cuánto creció la población entre en primer y tercer año?, ¿Cuál es la población en el tercer año?
1 Dado que nos pide el crecimiento de la población entre 1 y 3, es decir, el área bajo la curva de la tasa de crecimiento entre 1 y 3, lo expresaremos como sigue:

Nota: los pasos siguientes son para ilustrar el uso de las propiedades, algunos de ellos pueden ser omitidos.
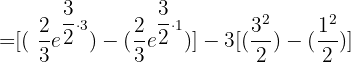
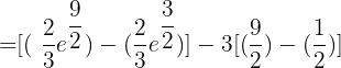
2 Al hacer los cálculos, notemos que podemos usar la propiedad 4 y separamos en una suma.

3 También podemos utilizar la propiedad 5 y sacamos el la constante -3 que multiplica a t.


4 Dado que
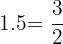
sustituimos y hacemos los cálculos que correspondientes para hallar la respuesta a la primera pregunta:





Así el crecimiento entre el primer y tercer año fue de 33 individuos aproximadamente.
6 Para la segunda pregunta seguimos es siguiente razonamiento:
- En el año 1 la población era de 1000 individuos.
- El crecimiento entre el año 1 y 3 fue de 33 individuos aproximadamente.
- Así la población al en el año 3 es de 1033 individuos aproximadamente.









Apuntes es una plataforma dirigida al estudio y la práctica de las matemáticas a través de la teoría y ejercicios interactivos que ponemos a vuestra disposición. Esta información está disponible para todo aquel/aquella que quiera profundizar en el aprendizaje de esta ciencia. Será un placer ayudaros en caso de que tengáis dudas frente algún problema, sin embargo, no realizamos un ejercicio que nos presentéis de 0 sin que hayáis si quiera intentado resolverlo. Ánimo, todo esfuerzo tiene su recompensa.
Fe de erratas:
Ej. 3: sobra una raíz de x en el denominador antes del
Resultado final.
Ej.4: En el resultado final falta el signo menos.
Un saludo.
Hola revise los ejemplos de muchas ejercicios y no encontré los errores, podrías hacerme el favor de darme mas detalles para poder encontrarlos y quitar esos errores, seria de mucha ayuda.
Podrían brindarme información sobre el autor y la fecha de publicación del articulo? Estoy realizando una monografía en matemáticas y esta agina me ha servido mucho pero necesito esa información para referenciar correctamente la información.
¡Hola Yanela! 👋 Desde Superprof nos alegra que el artículo te haya sido útil. 😊 Para referenciarlo correctamente en tu monografía, puedes citarlo de la siguiente manera:
«Superprof. Ejercicios resueltos de integrales por sustitución. [En línea] Disponible en: [URL del artículo].»
Por motivos de privacidad, no podemos facilitar datos personales del autor ni fecha exacta de publicación. 📚✨
Veo un error en el ejercicio 9 a la hora de devolver la variable, recuerda que x^2+1 = u^2, no x^2+1 = u
Hola tienes razón, una disculpa y ya se corrigió.
Hay un error en el integral de seno de x multiplicado por coseno de x.
Haciendo sustitución queda u^2/2 lo que indica que es sen(x)^2/2.
Hola en tu razonamiento estas bien, pero hay una cuestión para resolver este ejercicio hay dos formas una como tu dices y otra usando identidades trigonométricas, puedes comprobar que sale el mismo resultado en la integral definida.
holaa, en el caso 4, en la última identidad están mal los signos, sería sen(a)sen(b)=1/2(cos(a-b)-cos(a+b))
Hola la manera en como presentas la fórmula esta bien, pero en la propiedad 4 que mencionas es lo mismo pero escrita de forma diferente, si multiplicas por el signo negativo queda igual a lo que tienes, si tienen alguna duda mencionalo.