Integrales logarítmicas
El logaritmo natural de un número positivo
, escrito como
es el valor de una integral
con
.
La gráfica de la función
es:

Su inversa es la función
cuya gráfica es:

Fórmulas para integrales logarítmicas
Cuando tienes
no puedes integrar usando la fórmula de potencia, entonces consideras que
que es la derivada de
y así que llegamos a la primera fórmula. La segunda es la forma de una composición de funciones que involucra a
que es una función que depende de
y como el resultado es un logaritmo se llaman integrales logarítmicas.
1
2
Ejemplo de aplicación:
Se tiene un cultivo con una cantidad
de bacterias, al pasar una hora el número de bacterias es de
. Si la razón en la que se reproducen es proporcional al número de bacterias, ¿cuál es la función de la solución? Con base en los datos se tiene:



Aquí usamos la primera fórmula



Por lo tanto usamos la primera fórmula para resolver el problema y saber el número de bacterias con respecto al tiempo.
Resuelve las siguientes integrales:
1
.
entonces vamos a usar la segunda fórmula y tomamos: 
entonces

Por lo tanto

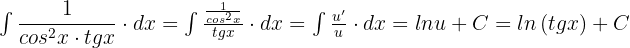
2
como se puede notar el denominador es una función que depende de
entonces vamos a usar la segunda fórmula y tomamos
, entonces 
Por lo tanto


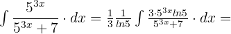
3
entonces vamos a usar la segunda fórmula y tomamos
, entonces 
Por lo tanto


4
entonces vamos a usar la segunda fórmula y tomamos
, entonces 
Por lo tanto

5
entonces vamos a usar la segunda fórmula y tomamos
, entonces 
Por lo tanto

6
tenemos
7
ahora usamos este resultado y la segunda fórmula e integramos









Apuntes es una plataforma dirigida al estudio y la práctica de las matemáticas a través de la teoría y ejercicios interactivos que ponemos a vuestra disposición. Esta información está disponible para todo aquel/aquella que quiera profundizar en el aprendizaje de esta ciencia. Será un placer ayudaros en caso de que tengáis dudas frente algún problema, sin embargo, no realizamos un ejercicio que nos presentéis de 0 sin que hayáis si quiera intentado resolverlo. Ánimo, todo esfuerzo tiene su recompensa.
Podrían brindarme información sobre el autor y la fecha de publicación del articulo? Estoy realizando una monografía en matemáticas y esta agina me ha servido mucho pero necesito esa información para referenciar correctamente la información.
¡Hola Yanela! 👋 Desde Superprof nos alegra que el artículo te haya sido útil. 😊 Para referenciarlo correctamente en tu monografía, puedes citarlo de la siguiente manera:
«Superprof. Ejercicios resueltos de integrales por sustitución. [En línea] Disponible en: [URL del artículo].»
Por motivos de privacidad, no podemos facilitar datos personales del autor ni fecha exacta de publicación. 📚✨
Veo un error en el ejercicio 9 a la hora de devolver la variable, recuerda que x^2+1 = u^2, no x^2+1 = u
Hola tienes razón, una disculpa y ya se corrigió.
Hay un error en el integral de seno de x multiplicado por coseno de x.
Haciendo sustitución queda u^2/2 lo que indica que es sen(x)^2/2.
Hola en tu razonamiento estas bien, pero hay una cuestión para resolver este ejercicio hay dos formas una como tu dices y otra usando identidades trigonométricas, puedes comprobar que sale el mismo resultado en la integral definida.
holaa, en el caso 4, en la última identidad están mal los signos, sería sen(a)sen(b)=1/2(cos(a-b)-cos(a+b))
Hola la manera en como presentas la fórmula esta bien, pero en la propiedad 4 que mencionas es lo mismo pero escrita de forma diferente, si multiplicas por el signo negativo queda igual a lo que tienes, si tienen alguna duda mencionalo.