Capítulos
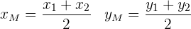
Coordenadas del punto medio de un segmento

Las coordenadas del punto medio de un segmento son la semisuma de las coordenadas de los extremos.

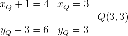
Ejemplo:Hallar las coordenadas del punto medio del segmento .

Ahora realizamos la semisuma para cada coordenada

Para finalmente encontrar el punto medio

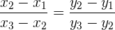
Condición para que tres puntos estén alineados

Los puntos y
están alineados siempre que los vectores
y
tengan la misma dirección. Esto ocurre cuando sus coordenadas son proporcionales.

Ejemplo:Calcular el valor de para que los puntos estén alineados.

Aplicando la fórmula:
Resolviendo encontramos el valor de



Simétrico de un punto respecto de otro

Si es el simétrico de
respecto de
, entonces
es el punto medio del segmento
. Por lo que se verificará igualdad:

Ejemplo:Hallar el simétrico del punto respecto de
.

Se tiene que cumplir la siguiente igualdad

es decir,

Igualando las respectivas coordenadas

Tenemos que el simétrico de es

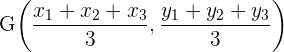
Coordenadas del baricentro

Baricentro o centro de gravedad de un triángulo es el punto de intersección de sus medianas.Las coordenadas del baricentro son:

Ejemplo:
Dados los vértices de un triángulo y
, hallar las coordenadas del baricentro.

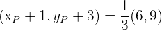
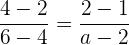
División de un segmento en una relación dada








Ejemplo:
¿Qué puntos y
dividen al segmento de extremos
y
en tres partes iguales?

Buscamos resolver la siguiente igualdad
es decir,

Igualando las respectivas coordenadas

Tenemos también que

es decir,

Igualando cada una de las coordenadas
Apuntes es una plataforma dirigida al estudio y la práctica de las matemáticas a través de la teoría y ejercicios interactivos que ponemos a vuestra disposición. Esta información está disponible para todo aquel/aquella que quiera profundizar en el aprendizaje de esta ciencia. Será un placer ayudaros en caso de que tengáis dudas frente algún problema, sin embargo, no realizamos un ejercicio que nos presentéis de 0 sin que hayáis si quiera intentado resolverlo. Ánimo, todo esfuerzo tiene su recompensa.
Suma de vectores f1=450n,30. 1FR=f1+f6
como sacar el residuo de una multiplicación
Hallar las coordenadas de punto medio del segmento que une (4,7);(14,12)
Hola, podrias mencionar que tipo de multiplicación (normal, de vectores etc.).
si se aplica una traslación al punto E(0;2) se obtiene el punto E'(-1;-5),indicar el vector de translación
Traslaciones Juan es un diseñador gráfico y de acuerdo con las exigencias de uno de sus clientes debe reorganizar los elementos de uno de los avisos publicitarios observemos en la ilustración los cambios y desplazamientos que realizo.
En la ilustración el barco se trasladó dos unidades hacia arriba.
Una traslación es el desplazamiento de una figura sobre un plano sin girarla en ninguna dirección para indicar una traslación usamos una flecha que muestra el sentido hacia donde se hace el movimiento:
Derecha , izquierda, arriba, abajo, occidente, Oriente, Norte o sur) y la magnitud (número de unidades que se mueve la figura).
En el aviso publicitario,? Cuál de los siguientes desplazamientos se realizó con el logo del pez? Márcalo con x
Vectores 400n+horizontal y a la izquierda