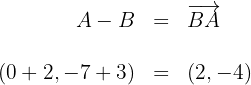
Un vector tiene extremos inicial y final
y
respectivamente. Hallar las coordenadas de 
Sabemos que las coordenadas de un vector se obtienen a partir de restarle el punto inicial al punto final

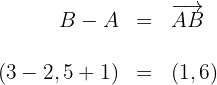
Un vector tiene extremos final e inicial
y
respectivamente. Hallar las coordenadas de 
Sabemos que las coordenadas de un vector se obtienen a partir de restarle el punto inicial al punto final

Un vector
tiene componentes
. Hallar las coordenadas de
si se conoce el extremo 
1 Como no conocemos las coordenadas de
, las denotamos mediante
.
2 Sabemos que las coordenadas de un vector se obtienen a partir de restarle el punto inicial al punto final

3 Obtenemos dos ecuaciones

4 Resolvemos las dos ecuaciones y obtenemos que las coordenadas de
son

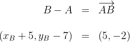
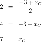
Un vector
tiene componentes
. Hallar las coordenadas de
si se conoce el extremo 
1 Como no conocemos las coordenadas de
, las denotamos mediante
.
2 Sabemos que las coordenadas de un vector se obtienen a partir de restarle el punto inicial al punto final

3 Obtenemos dos ecuaciones

4 Resolvemos las dos ecuaciones y obtenemos que las coordenadas de
son

Dado el vector
y dos vectores equipolentes a
y
, determinar
y
sabiendo que
y 
1 Como
son equipolentes, entonces
.
2 Como no conocemos las coordenadas de
, las denotamos mediante
.
3 Sabemos que las coordenadas de un vector se obtienen a partir de restarle el punto inicial al punto final

4 Obtenemos dos ecuaciones

5 Resolvemos las dos ecuaciones y obtenemos que las coordenadas de
son

6 Resolviendo de la misma forma que para
, tenemos que
.
Calcular la distancia entre los puntos
y 
1 La fórmula para la distancia entre dos puntos es

2 Sustituimos los valores de
y
fórmula de distancia entre dos puntos y obtenemos

Calcular la distancia entre los puntos
y 
1 La fórmula para la distancia entre dos puntos es

2 Sustituimos los valores de
y
fórmula de distancia entre dos puntos y obtenemos

Encuentra el valor de
para que la distancia entre los puntos
y
sea 7
1 La fórmula para la distancia entre dos puntos es

2 Sustituimos los valores de
y
fórmula de distancia entre dos puntos y obtenemos

3 Elevando al cuadrado ambos lados y despejando, se obtiene 
Encuentra el valor de
para que la distancia entre los puntos
y
sea 8
1 La fórmula para la distancia entre dos puntos es

2 Sustituimos los valores de
y
fórmula de distancia entre dos puntos y obtenemos

3 Elevando al cuadrado ambos lados y despejando, se obtiene 
Si
es un vector de componentes
, hallar un vector unitario de su misma dirección y sentido
1 La fórmula para que un vector sea unitario es

2 Calculamos la magnitud de 

3 Sustituimos en la fórmula para obtener un vector unitario

Si
es un vector de componentes
, hallar un vector unitario de su misma dirección y sentido opuesto
1 La fórmula para que un vector sea unitario es

2 Calculamos la magnitud de 

3 Sustituimos en la fórmula para obtener un vector unitario

4 Nos piden que el vector unitario tenga sentido opuesto, esto es

Hallar un vector unitario de la misma dirección que el vector 
1 La fórmula para que un vector sea unitario es

2 Calculamos la magnitud de 

3Sustituimos en la fórmula para obtener un vector unitario

Calcula las coordenadas de
para que el cuadrilátero de vértices
y
sea un paralelogramo.

1 Los lados opuestos de un paralelogramo son iguales en magnitud y dirección, entonces tenemos

2 Como no conocemos las coordenadas de
, las denotamos mediante
.
3 Sustituimos los valores de los vértices del paralelogramo en la igualdad de vectores

4 Obtenemos dos ecuaciones

5 Resolviendo las ecuaciones obtenemos las coordenadas buscadas

Hallar las coordenadas del punto medio del segmento
, de extremos
y
.
1 Las fórmulas para las coordenadas del punto medio son

2 Sustituimos los valores de
y
en las dos fórmulas anteriores

3 El punto medio es
.
Hallar las coordenadas del punto
, sabiendo que
es el punto medio de
, donde
.
1 Las fórmulas para las coordenadas del punto medio son

2 Sustituimos los valores de
y
en las dos fórmulas anteriores y calculamos la primera coordenada de 

3 La segunda coordenada de
es

4 Finalmente
es
Averiguar si están alineados los puntos
y
.
1 Los puntos
son colineales si las pendientes de los segmentos
y
son iguales.

2 Como ambas pendientes son iguales, entonces los tres puntos si están alineados.
Averiguar si están alineados los puntos
y
.
1 Los puntos
son colineales si las pendientes de los segmentos
y
son iguales.

2 Como ambas pendientes no son iguales, entonces los tres puntos no están alineados.
Calcular el valor de
para que los puntos
estén alineados.
1 Los puntos
son colineales si las pendientes de los segmentos
y
son iguales.

2 Como ambas pendientes son iguales, igualamos ambas expresiones y despejamos 

Dados los puntos
y
, hallar un punto
alineado con
y
, de manera que se obtenga 
1 Partimos de la condición dada y obtenemos una igualdad

2 Igualamos ambas expresiones coordenada a coordenada y obtenemos

3 Resolvemos ambas ecuaciones para obtener las coordenadas de 


Dado un triángulo con vértices
y
, hallar las coordenadas del baricentro
1 La fórmula para encontrar el baricentro es

2 Sustituyendo los valores de los vértices del triángulo obtenemos

Dado un triángulo con dos de sus vértices
y el baricentro
, calcular el tercer vértice
1 La fórmula para encontrar el baricentro es

2 Sustituyendo los valores del baricentro y los vértices del triángulo obtenemos dos ecuaciones

3 Resolvemos ambas ecuaciones y obtenemos el tercer vértice
.
Hallar el simétrico del punto
respecto de 
1 Denotamos por
al simétrico de
, luego se cumple que 
2 Sustituyendo los valores de los puntos, obtenemos dos ecuaciones correspondientes a las coordenadas de los vectores

3 Resolvemos ambas ecuaciones y obtenemos
.
Hallar el simétrico del punto
respecto de 
1 Denotamos por
al simétrico de
, luego se cumple que 
2 Sustituyendo los valores de los puntos, obtenemos dos ecuaciones correspondientes a las coordenadas de los vectores

3 Resolvemos ambas ecuaciones y obtenemos
.
¿Qué puntos
y
dividen al segmento de extremos
y
en tres partes iguales?

1 En notación vectorial tenemos

2 Sustituyendo los valores de los puntos, obtenemos dos ecuaciones correspondientes a las coordenadas de los vectores

3 Resolvemos ambas ecuaciones y obtenemos
.
4 Para encontrar las coordenadas de
utilizamos la condición

5Sustituyendo los valores de los puntos, obtenemos dos ecuaciones correspondientes a las coordenadas de los vectores

6Resolvemos ambas ecuaciones y obtenemos
.
Si el segmento
de extremos
se divide en cuatro partes iguales, ¿cuáles son las coordenadas de los puntos de división?

1 Notamos que
es el punto medio del segmento 

2
es el punto medio del segmento 

3
es el punto medio del segmento 

Si tienes alguna duda, recuerda que en Superprof podrás encontrar el profesor de matematicas ideal para ti, ya se trate de un profesor de matematicas online o de clases presenciales.
Resumir con IA:

Apuntes es una plataforma dirigida al estudio y la práctica de las matemáticas a través de la teoría y ejercicios interactivos que ponemos a vuestra disposición. Esta información está disponible para todo aquel/aquella que quiera profundizar en el aprendizaje de esta ciencia. Será un placer ayudaros en caso de que tengáis dudas frente algún problema, sin embargo, no realizamos un ejercicio que nos presentéis de 0 sin que hayáis si quiera intentado resolverlo. Ánimo, todo esfuerzo tiene su recompensa.
Suma de vectores f1=450n,30. 1FR=f1+f6
como sacar el residuo de una multiplicación
Hallar las coordenadas de punto medio del segmento que une (4,7);(14,12)
Hola, podrias mencionar que tipo de multiplicación (normal, de vectores etc.).
si se aplica una traslación al punto E(0;2) se obtiene el punto E'(-1;-5),indicar el vector de translación
Traslaciones Juan es un diseñador gráfico y de acuerdo con las exigencias de uno de sus clientes debe reorganizar los elementos de uno de los avisos publicitarios observemos en la ilustración los cambios y desplazamientos que realizo.
En la ilustración el barco se trasladó dos unidades hacia arriba.
Una traslación es el desplazamiento de una figura sobre un plano sin girarla en ninguna dirección para indicar una traslación usamos una flecha que muestra el sentido hacia donde se hace el movimiento:
Derecha , izquierda, arriba, abajo, occidente, Oriente, Norte o sur) y la magnitud (número de unidades que se mueve la figura).
En el aviso publicitario,? Cuál de los siguientes desplazamientos se realizó con el logo del pez? Márcalo con x
Vectores 400n+horizontal y a la izquierda