Indica si los siguientes vectores son unitarios o no

Selecciona una respuesta.
1 Un vector es unitario si su magnitud es igual a 
2 Calculamos la magnitud del vector

3 Como
, concluimos que el vector no es unitario.

Selecciona una respuesta.
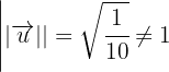
1 Un vector es unitario si su magnitud es igual a 
2 Calculamos la magnitud del vector

3 Como
, concluimos que el vector si es unitario.

Selecciona una respuesta.
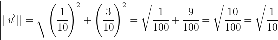
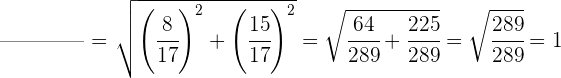
1 Un vector es unitario si su magnitud es igual a 
2 Calculamos la magnitud del vector

3 Como
, concluimos que el vector si es unitario.
Observa que los vectores
y
son unitarios.

Selecciona una respuesta.
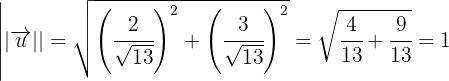
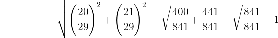
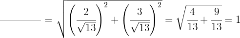
1 Un vector es unitario si su magnitud es igual a 
2 Calculamos la magnitud del vector

3 Como
, concluimos que el vector no es unitario.
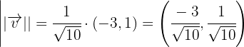
Selecciona el vector unitario
, con la misma dirección y sentido que el vector
dado en cada caso:

Selecciona una respuesta.
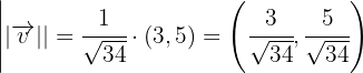
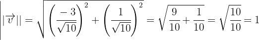
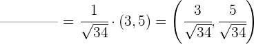
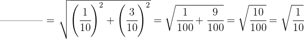
Tenemos que normalizar el vector. 1 Calculamos la magnitud de

2 Multiplicamos
por el recíproco de su magnitud, y el vector que nos queda es

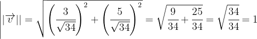
3 Verificamos que
es unitario


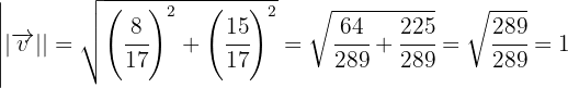
Selecciona una respuesta.
Tenemos que normalizar el vector.
1 Calculamos la magnitud de

2 Multiplicamos
por el recíproco de su magnitud, y el vector que nos queda es

3 Verificamos que
es unitario


Selecciona una respuesta.
1 Calculamos la magnitud de

2 Multiplicamos
por el recíproco de su magnitud, y el vector que nos queda es

3 Verificamos que
es unitario


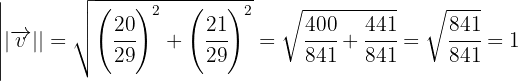
Selecciona una respuesta.
Tenemos que normalizar el vector.
1 Calculamos la magnitud de

2 Multiplicamos
por el recíproco de su magnitud, y el vector que nos queda es

3 Verificamos que
es unitario

Si tienes dudas puedes consultar la teoría
Resumir con IA:

Apuntes es una plataforma dirigida al estudio y la práctica de las matemáticas a través de la teoría y ejercicios interactivos que ponemos a vuestra disposición. Esta información está disponible para todo aquel/aquella que quiera profundizar en el aprendizaje de esta ciencia. Será un placer ayudaros en caso de que tengáis dudas frente algún problema, sin embargo, no realizamos un ejercicio que nos presentéis de 0 sin que hayáis si quiera intentado resolverlo. Ánimo, todo esfuerzo tiene su recompensa.
Suma de vectores f1=450n,30. 1FR=f1+f6
como sacar el residuo de una multiplicación
Hallar las coordenadas de punto medio del segmento que une (4,7);(14,12)
Hola, podrias mencionar que tipo de multiplicación (normal, de vectores etc.).
si se aplica una traslación al punto E(0;2) se obtiene el punto E'(-1;-5),indicar el vector de translación
Traslaciones Juan es un diseñador gráfico y de acuerdo con las exigencias de uno de sus clientes debe reorganizar los elementos de uno de los avisos publicitarios observemos en la ilustración los cambios y desplazamientos que realizo.
En la ilustración el barco se trasladó dos unidades hacia arriba.
Una traslación es el desplazamiento de una figura sobre un plano sin girarla en ninguna dirección para indicar una traslación usamos una flecha que muestra el sentido hacia donde se hace el movimiento:
Derecha , izquierda, arriba, abajo, occidente, Oriente, Norte o sur) y la magnitud (número de unidades que se mueve la figura).
En el aviso publicitario,? Cuál de los siguientes desplazamientos se realizó con el logo del pez? Márcalo con x
Vectores 400n+horizontal y a la izquierda