Resuelve los siguientes problemas
1
Calcular el homotético del siguiente triángulo de centro el origen y razón
, cuyos vértices son
.
, 
Este campo es obligatorio.
Como la razón de homotecia vale
, basta multiplicar en cada vértice sus coordenadas por
.
.
, 
Este campo es obligatorio.
.
, 
Este campo es obligatorio.
.

2
Para el rectángulo con vértices
encuentre el homotético de centro el origen y razón
.
, 
Este campo es obligatorio.
Como la razón de homotecia vale
, basta multiplicar en cada vértice sus coordenadas por
.
.
, 
Este campo es obligatorio.
.
, 
Este campo es obligatorio.
.
, 
Este campo es obligatorio.
.

3
Para la estrella con vértices 
encuentre el área del homotético de centro el origen y razón
.
, 
Este campo es obligatorio.
Como la razón de homotecia vale
, basta multiplicar en cada vértice sus coordenadas por 
.
, 
Este campo es obligatorio.
.
, 
Este campo es obligatorio.
.
, 
Este campo es obligatorio.
.
, 
Este campo es obligatorio.
.
, 
Este campo es obligatorio.
.
, 
Este campo es obligatorio.
.
, 
Este campo es obligatorio.
.

4
Para el triángulo con vértices
encuentre el perímetro del homotético de centro el origen y razón
.
Este campo es obligatorio.
Como la razón de homotecia vale
, basta multiplicar en cada vértice sus coordenadas por
.
.
.
.
Calculamos los lados del triángulo homotético
.
El perímetro es
.
Observe que el perímetro del homotético es igual al perímetro de la figura original multiplicado por el valor absoluto de la razón dada
.

5
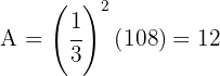
El perímetro de un polígono es de
. Encuentre el perímetro
del homotético de centro
y razón
.

Este campo es obligatorio.
Como el perímetro del homotético es igual al perímetro de la figura original multiplicado por el valor absoluto de la razón dada
.
6
Para el trapecio con vértices
encuentre el área del homotético de centro el origen y razón
.
Este campo es obligatorio.
El área del homotético es igual al área de la figura original multiplicado por el cuadrado de la razón dada. El área del trapecio original es
.
El área del homotético es
.

7
Para la estrella con vértices
encuentre el área del homotético de centro el origen y razón
.
Este campo es obligatorio.
El área del homotético es igual al área de la figura original multiplicado por el cuadrado de la razón dada. El área de la estrella original está formada por un cuadrado de lado
y cuatro triángulos isósceles en con base en cada uno de los lados del cuadrado y altura 
.
El área del homotético es
.

8
Para el cuadrado con vértices
tiene por homotético al cuadrado con vértices
. Encuentre la razón y el centro de homotecia.
Este campo es obligatorio.
Como las figuras son homotéticas la razón del perímetro del homotético y el perímetro de la figura original es igual, en valor absoluto, a la razón de homotecia
El perímetro del cuadrado con vértices
es
.
El perímetro del cuadrado con vértices
es
.
Luego la razón de homotecia (en valor absoluto) es
.
Para determinar el signo de la razón de homotecia tomamos dos lados paralelos entre ambas figuras y si se preserva la orientación el signo es positivo, de lo contrario el signo es negativo. Los vectores con extremos
y
satisfacen

Así
.
, 
Este campo es obligatorio.
El centro de homotecia coincide con el punto medio de los vértices y sus imágenes. Para
y
se tiene
.

9
Para el triángulo con vértices
tiene por homotético al triángulo con vértices
. Encuentre la razón y el centro de homotecia.
Este campo es obligatorio.
Como las figuras son homotéticas la razón de los lados paralelos es igual, en valor absoluto, a la razón de homotecia
El lado
es
.
El lado
es
.
Luego la razón de homotecia (en valor absoluto) es
.
Para determinar el signo de la razón de homotecia tomamos dos lados paralelos entre ambas figuras y si se preserva la orientación el signo es positivo, de lo contrario el signo es negativo. Los vectores con extremos
y
satisfacen

Así
.
, 
Este campo es obligatorio.
El centro de homotecia junto con
son los extremos del segmento cuyo punto medio es
, luego
.

10
Dada la circunferencia de centro
y radio
, calcular su homotética sabiendo que el centro de homotecia es el origen y la razón
.
Este campo es obligatorio.
La razón es
, por tanto basta multiplicar por
las coordenadas del centro de la circunferencia para obterner las coordenadas de la circunferencia homotética. El radio de la nueva circunferencia no varía, es decir, mide
.
, 
Este campo es obligatorio.
Obsérvese que un punto arbitrario
de la circunferencia se transforma en su opuesto
como se ve en la figura.

Si dos circunferencias son concéntricas, ¿su centro de homotecia es el mismo?
¿Y si son exteriores?
Este campo es obligatorio.
Cuando las circunferencias son concéntricas su centro de homotecia sí es el mismo, mientras que cuando son exteriores no es el mismo, el centro de homotecia es el punto donde se cortan las tangentes exteriores.
Resumir con IA:

Apuntes es una plataforma dirigida al estudio y la práctica de las matemáticas a través de la teoría y ejercicios interactivos que ponemos a vuestra disposición. Esta información está disponible para todo aquel/aquella que quiera profundizar en el aprendizaje de esta ciencia. Será un placer ayudaros en caso de que tengáis dudas frente algún problema, sin embargo, no realizamos un ejercicio que nos presentéis de 0 sin que hayáis si quiera intentado resolverlo. Ánimo, todo esfuerzo tiene su recompensa.
Suma de vectores f1=450n,30. 1FR=f1+f6
como sacar el residuo de una multiplicación
Hallar las coordenadas de punto medio del segmento que une (4,7);(14,12)
Hola, podrias mencionar que tipo de multiplicación (normal, de vectores etc.).
si se aplica una traslación al punto E(0;2) se obtiene el punto E'(-1;-5),indicar el vector de translación
Traslaciones Juan es un diseñador gráfico y de acuerdo con las exigencias de uno de sus clientes debe reorganizar los elementos de uno de los avisos publicitarios observemos en la ilustración los cambios y desplazamientos que realizo.
En la ilustración el barco se trasladó dos unidades hacia arriba.
Una traslación es el desplazamiento de una figura sobre un plano sin girarla en ninguna dirección para indicar una traslación usamos una flecha que muestra el sentido hacia donde se hace el movimiento:
Derecha , izquierda, arriba, abajo, occidente, Oriente, Norte o sur) y la magnitud (número de unidades que se mueve la figura).
En el aviso publicitario,? Cuál de los siguientes desplazamientos se realizó con el logo del pez? Márcalo con x
Vectores 400n+horizontal y a la izquierda