Capítulos
Los/las mejores profesores/as de Matemáticas que están disponibles
Módulo de un vector
El módulo de un vector es la longitud del segmento orientado que lo define.
El módulo de un vector es un número siempre positivo y solamente el vector nulo tiene módulo cero.
Tenemos dos modos de calcularlo:
1 Cálculo del módulo conociendo sus componentes.
2 Cálculo del módulo conociendo las coordenadas de los puntos.
Cálculo del módulo conociendo sus componentes
Si conocemos los componentes del vector, la fórmula a usar es la siguiente:


Ejemplo
1 
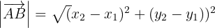
Cálculo del módulo conociendo las coordenadas de los puntos
Si conocemos el punto inicial y punto final del vector, la fórmula a usar es la siguiente:



Ejemplo
1

Distancia entre dos puntos
La distancia entre dos puntos es igual al módulo del vector que tiene de extremos dichos puntos.


Ejemplo
1

Resumir con IA:









Apuntes es una plataforma dirigida al estudio y la práctica de las matemáticas a través de la teoría y ejercicios interactivos que ponemos a vuestra disposición. Esta información está disponible para todo aquel/aquella que quiera profundizar en el aprendizaje de esta ciencia. Será un placer ayudaros en caso de que tengáis dudas frente algún problema, sin embargo, no realizamos un ejercicio que nos presentéis de 0 sin que hayáis si quiera intentado resolverlo. Ánimo, todo esfuerzo tiene su recompensa.
Suma de vectores f1=450n,30. 1FR=f1+f6
como sacar el residuo de una multiplicación
Hallar las coordenadas de punto medio del segmento que une (4,7);(14,12)
Hola, podrias mencionar que tipo de multiplicación (normal, de vectores etc.).
si se aplica una traslación al punto E(0;2) se obtiene el punto E'(-1;-5),indicar el vector de translación
Traslaciones Juan es un diseñador gráfico y de acuerdo con las exigencias de uno de sus clientes debe reorganizar los elementos de uno de los avisos publicitarios observemos en la ilustración los cambios y desplazamientos que realizo.
En la ilustración el barco se trasladó dos unidades hacia arriba.
Una traslación es el desplazamiento de una figura sobre un plano sin girarla en ninguna dirección para indicar una traslación usamos una flecha que muestra el sentido hacia donde se hace el movimiento:
Derecha , izquierda, arriba, abajo, occidente, Oriente, Norte o sur) y la magnitud (número de unidades que se mueve la figura).
En el aviso publicitario,? Cuál de los siguientes desplazamientos se realizó con el logo del pez? Márcalo con x
Vectores 400n+horizontal y a la izquierda