¿Como se forma la base de dos vectores?
Dos vectores
y
con distinta dirección forman una base, porque cualquier vector del plano se puede poner como combinación lineal de ellos.



Ejemplo:

Los dos vectores que forman una base no pueden ser paralelos.
Clasificación de bases
Base ortogonal

Los dos vectores de la base son perpendiculares entre sí.
Base ortonormal

Los dos vectores de la base son perpendiculares entre sí, y además tienen módulo
.
Esta base formada por los vectores
y
se denomina base canónica.
Es la base que se utiliza habitualmente, de modo que si no se advierte nada se supone que se está trabajando en esa base.
Ejemplos:
1 ¿Qué pares de los siguientes vectores forman una base?

Sabemos que si los vectores son paralelos, no pueden formar una base. Entonces, para averiguar cuales de los vectores anteriores la forman, vamos a tomarlos por pares y comprobar si son paralelos o no.
Primero, estudiamos los vectores
y
:

Los vectores
y
no son paralelos, y entonces forman una base: 
Seguimos comparando los vectores
y
:

Los vectores
y
son los dos iguales a
, entonces paralelos. No forman una base.
Por ultimo, estudiamos los vectores
y
:

Los vectores
y
no son paralelos, y entonces forman una base: 
2 Sean los vectores libres
,
y
. Determinar:
A Si forman una base
y
.
Para comprobar si forman una base, seguimos los mismos pasos que en el ejemplo anterior para ver si son paralelos o no:

Los dos vectores no son paralelos, entonces forman una base:

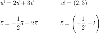
B Expresar
como combinación lineal de los de la base
Sabemos que:

Entonces:


La combinación lineal es:

3 Un vector
tiene de coordenadas
en la base canónica.
¿Qué coordenadas tendrá referido a la base
,
?

Rasolvemos el sistema de ecuaciones:
Sabiendo que:

Despejamos la incógnita
:

Sustituimos el valor de
en la segunda ecuación:



Teniendo el valor de
, lo sustituimos en la primera ecuación:

Las coordenadas de
en la base
son
.
Resumir con IA:









Apuntes es una plataforma dirigida al estudio y la práctica de las matemáticas a través de la teoría y ejercicios interactivos que ponemos a vuestra disposición. Esta información está disponible para todo aquel/aquella que quiera profundizar en el aprendizaje de esta ciencia. Será un placer ayudaros en caso de que tengáis dudas frente algún problema, sin embargo, no realizamos un ejercicio que nos presentéis de 0 sin que hayáis si quiera intentado resolverlo. Ánimo, todo esfuerzo tiene su recompensa.
Suma de vectores f1=450n,30. 1FR=f1+f6
como sacar el residuo de una multiplicación
Hallar las coordenadas de punto medio del segmento que une (4,7);(14,12)
Hola, podrias mencionar que tipo de multiplicación (normal, de vectores etc.).
si se aplica una traslación al punto E(0;2) se obtiene el punto E'(-1;-5),indicar el vector de translación
Traslaciones Juan es un diseñador gráfico y de acuerdo con las exigencias de uno de sus clientes debe reorganizar los elementos de uno de los avisos publicitarios observemos en la ilustración los cambios y desplazamientos que realizo.
En la ilustración el barco se trasladó dos unidades hacia arriba.
Una traslación es el desplazamiento de una figura sobre un plano sin girarla en ninguna dirección para indicar una traslación usamos una flecha que muestra el sentido hacia donde se hace el movimiento:
Derecha , izquierda, arriba, abajo, occidente, Oriente, Norte o sur) y la magnitud (número de unidades que se mueve la figura).
En el aviso publicitario,? Cuál de los siguientes desplazamientos se realizó con el logo del pez? Márcalo con x
Vectores 400n+horizontal y a la izquierda