Capítulos
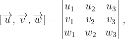
El producto mixto —también llamado triple producto escalar— únicamente puede definirse para vectores en el espacio cartesiano. Si y
son vectores en el espacio cartesiano su producto mixto, representado como
, se define como el producto escalar del primer vector
por el vector resultante del producto vectorial de
y
:

Cálculo del producto mixto por determinantes
Un método útil para realizar el cálculo del producto mixto consiste en hacer un arreglo matricial con las coordenadas de los vectores y calcular su determinante:

así,
Ejemplo
1 Calcular el producto mixto de los vectores y

Propiedades del producto mixto
1 El producto mixto no varía si se permutan cíclicamente sus factores:

2 Si se intercambia el orden de dos vectores en el producto mixto se obtiene el mismo valor salvo por un signo:

3 Si la triada de vectores no es linealmente independiente, es decir, si agrupando los vectores dos a dos éstos son coplanarios, el producto mixto vale cero.
Representación analítica del volumen de un paralelepípedo
El valor absoluto del producto mixto de tres vectores corresponde al volumen del paralelepípedo que se forma con éstos. Este cuerpo geométrico se forma considerando a cada uno de los vectores como su largo, su ancho y su alto:

Ejemplo
1 Hallar el volumen del paralelepípedo formado por los vectores
y

Obtención del volumen de un tetraedro a partir del producto mixto
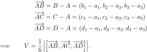
Al seccionar el paralelepípedo en dos prismas de base triangular considerando las diagonales de sus bases superior e inferior, el volumen de cada prisma triangular corresponde a la mitad del volumen del paralelepípedo. Ahora, como el volumen de una pirámide de base triangular (un tetraedro) es un tercio del volumen del prisma triangular que la inscribe, su volumen corresponde a un sexto del volumen del paralelogramo inicial. Por tanto, si se conocen los vectores que forman un paralelepípedo, el volumen del tetraedro que lo forman es igual a un sexto del valor absoluto de su producto mixto.
Por otro lado, si se tienen las coordenadas de los vértices del tetraedro, es posible conocer los tres vectores que lo forman y calcular su volumen:


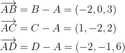
Ejemplo
1Calcular el volumen del tetraedro cuyos vértices son los puntos
y


Apuntes es una plataforma dirigida al estudio y la práctica de las matemáticas a través de la teoría y ejercicios interactivos que ponemos a vuestra disposición. Esta información está disponible para todo aquel/aquella que quiera profundizar en el aprendizaje de esta ciencia. Será un placer ayudaros en caso de que tengáis dudas frente algún problema, sin embargo, no realizamos un ejercicio que nos presentéis de 0 sin que hayáis si quiera intentado resolverlo. Ánimo, todo esfuerzo tiene su recompensa.
Suma de vectores f1=450n,30. 1FR=f1+f6
como sacar el residuo de una multiplicación
Hallar las coordenadas de punto medio del segmento que une (4,7);(14,12)
Hola, podrias mencionar que tipo de multiplicación (normal, de vectores etc.).
si se aplica una traslación al punto E(0;2) se obtiene el punto E'(-1;-5),indicar el vector de translación
Traslaciones Juan es un diseñador gráfico y de acuerdo con las exigencias de uno de sus clientes debe reorganizar los elementos de uno de los avisos publicitarios observemos en la ilustración los cambios y desplazamientos que realizo.
En la ilustración el barco se trasladó dos unidades hacia arriba.
Una traslación es el desplazamiento de una figura sobre un plano sin girarla en ninguna dirección para indicar una traslación usamos una flecha que muestra el sentido hacia donde se hace el movimiento:
Derecha , izquierda, arriba, abajo, occidente, Oriente, Norte o sur) y la magnitud (número de unidades que se mueve la figura).
En el aviso publicitario,? Cuál de los siguientes desplazamientos se realizó con el logo del pez? Márcalo con x
Vectores 400n+horizontal y a la izquierda